Регистрация не е нужна, освен при създаване на тема в "Задача на седмицата".

ПОМОЩ нямам идея как да я реша

ПОМОЩ нямам идея как да я реша

Мнениеот dodostar » 19 Яну 2016, 11:00

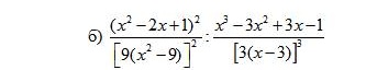
Моля ви помогнете! Прикачих файл.
Прикачени файлове
11224420_1190218434337901_9102867911674179651_n.jpg
11224420_1190218434337901_9102867911674179651_n.jpg (8.32 KiB) Прегледано 1462 пъти
dodostar
Нов
 
Мнения: 7
Регистриран на: 30 Сеп 2015, 09:39
Рейтинг: 0

Re: ПОМОЩ нямам идея как да я реша

Мнениеот monika_at » 19 Яну 2016, 11:15

Ползваме формули за съкратено умножение и свойства на степенуването.
ДС: [tex]x\ne \pm 3; 1[/tex]

[tex]\frac{(x-1)^4}{3^4(x-3)^2(x+3)^2}:\frac{(x-1)^3}{3^3(x-3)^3}=\frac{(x-1)^4}{3^4(x-3)^2(x+3)^2}.\frac{3^3(x-3)^3}{(x-1)^3}[/tex]=

=[tex]\frac{(x-1)(x-3)}{3(x+3)^2}[/tex] ;)
"Колкото повече изследваме Вселената, толкова по-ясно става, че е единична мисъл на велик математик!"
Сър Джеймс Джинс
Аватар
monika_at
Професор
 
Мнения: 1207
Регистриран на: 23 Апр 2013, 11:49
Местоположение: гр. София
Рейтинг: 936


Назад към Дроби



Кой е на линия

Регистрирани потребители: Google Adsense [Bot], Google [Bot]

Форум за математика(архив)