Регистрация не е нужна, освен при създаване на тема в "Задача на седмицата".

Гадна задача с корени

Гадна задача с корени

Мнениеот asdffg » 24 Мар 2010, 18:10

asdffg
Нов
 
Мнения: 44
Регистриран на: 20 Яну 2010, 15:52
Рейтинг: 2

Re: Гадна задача с корени

Мнениеот dim » 24 Мар 2010, 18:15

И кое от действията горе не ти е ясно ?
Аватар
dim
Напреднал
 
Мнения: 252
Регистриран на: 15 Яну 2010, 00:06
Местоположение: София
Рейтинг: 9

Re: Гадна задача с корени

Мнениеот asdffg » 24 Мар 2010, 18:25

Може ли да покажеш решението, че аз немога да получа отговора?
asdffg
Нов
 
Мнения: 44
Регистриран на: 20 Яну 2010, 15:52
Рейтинг: 2

Re: Гадна задача с корени

Мнениеот dim » 24 Мар 2010, 18:48

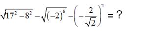
[tex]\sqrt{17^2-8^2}-\sqrt{(-2)^6} -(-\frac{2}{\sqrt{2} })^{2}=\sqrt{289-64}- \sqrt{2^6}-(\frac{2}{\sqrt{2} })^{2}=\sqrt{225}-\sqrt{(2^3)^2}-\frac{4}{2}=15-2^3-2=15-8-2=5[/tex]

Използва се : [tex]\sqrt{(-a)^2}=\sqrt{a^2}[/tex]
Аватар
dim
Напреднал
 
Мнения: 252
Регистриран на: 15 Яну 2010, 00:06
Местоположение: София
Рейтинг: 9


Назад към Степени, корени



Кой е на линия

Регистрирани потребители: Google Adsense [Bot], Google [Bot]

Форум за математика(архив)
cron