Регистрация не е нужна, освен при създаване на тема в "Задача на седмицата".

Открийте неизвестното

Открийте неизвестното

Мнениеот ivanromov » 24 Фев 2020, 21:25

Ако някой може да помогне !

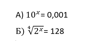
Условие:
Открийте неизвестното Х

Screenshot_2.png
Screenshot_2.png (3.18 KiB) Прегледано 1963 пъти
ivanromov
Нов
 
Мнения: 10
Регистриран на: 17 Яну 2020, 22:56
Рейтинг: 1

Re: Открийте неизвестното

Мнениеот Добромир Глухаров » 25 Фев 2020, 16:45

А) $10^x=0,001=\frac{1}{1000}=\frac{1}{10^3}=10^{-3}$
$\ \ \ \Rightarrow x=-3$

Б) $\sqrt[4]{2^x}=128$
$\ \ \ 2^{\frac{x}{4}}=2^7$
$\frac{x}{4}=7$
$x=28$
Аватар
Добромир Глухаров
Математик
 
Мнения: 2080
Регистриран на: 11 Яну 2010, 13:23
Рейтинг: 2178


Назад към Степени, корени



Кой е на линия

Регистрирани потребители: Google [Bot]

Форум за математика(архив)