Регистрация не е нужна, освен при създаване на тема в "Задача на седмицата".

Задача 6- ти клас

Задача 6- ти клас

Мнениеот Kiko76 » 06 Фев 2022, 12:55

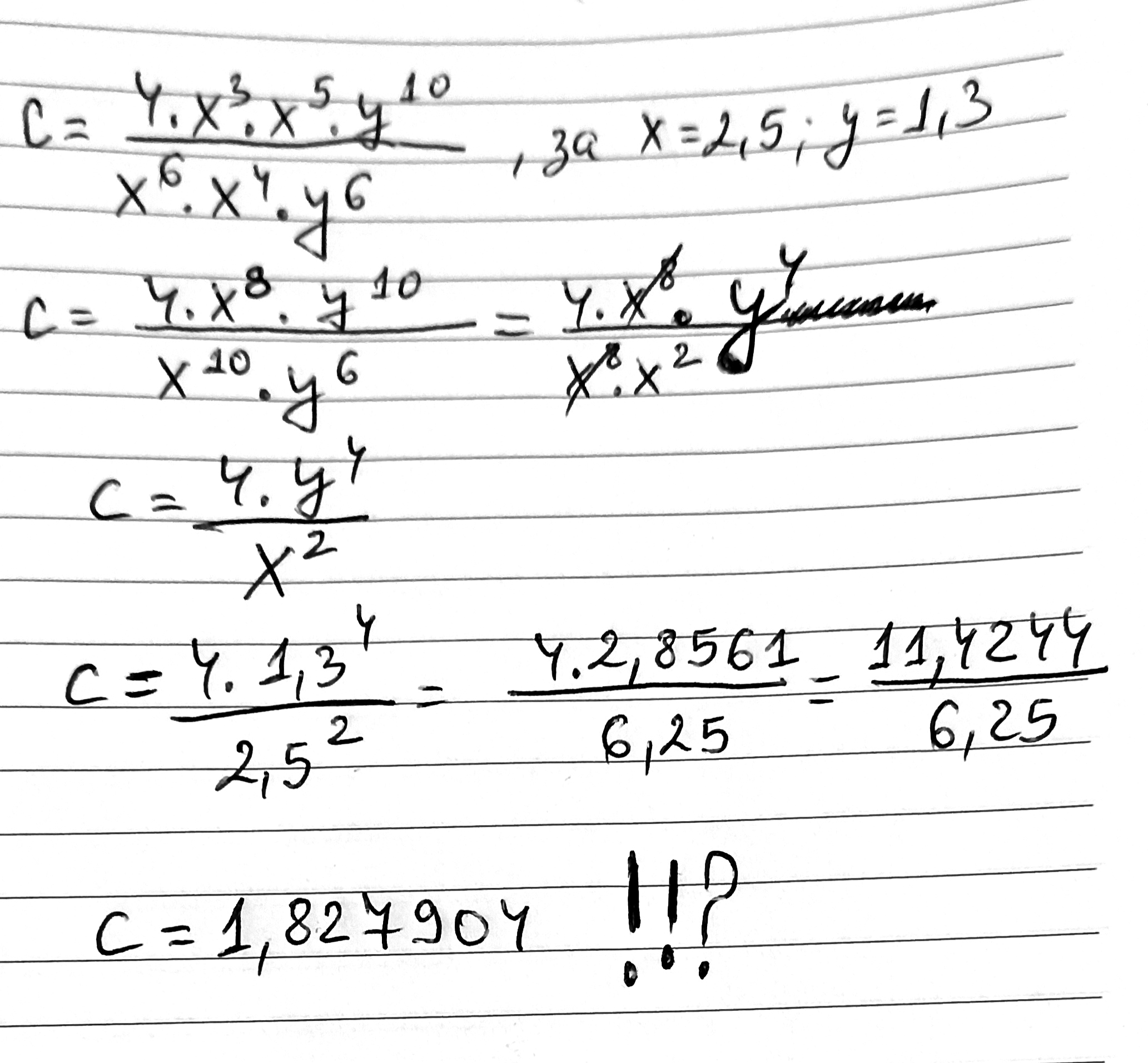
Здравейте,имам общи познания по математика и помагам на дъщеря ми.Сблъсках се с една задача,реших я по моя си начин ,обаче накрая се получават не цели числа.Явно някъде бъркам.Прикачам файл да видите за какво става дума.
Прикачени файлове
IMG_20220206_125206.jpg
Задачата
IMG_20220206_125206.jpg (656.39 KiB) Прегледано 1350 пъти
Kiko76
Нов
 
Мнения: 2
Регистриран на: 06 Фев 2022, 12:32
Рейтинг: 0

Re: Задача 6- ти клас

Мнениеот peyo » 06 Фев 2022, 13:00

Kiko76 написа:Здравейте,имам общи познания по математика и помагам на дъщеря ми.Сблъсках се с една задача,реших я по моя си начин ,обаче накрая се получават не цели числа.Явно някъде бъркам.Прикачам файл да видите за какво става дума.


И аз получавам толкова. Може би не е необходимо да се получи цяло число, а може и условието да не е преписано точно.
peyo
Математик
 
Мнения: 1750
Регистриран на: 16 Мар 2019, 09:35
Местоположение: София
Рейтинг: 655

Re: Задача 6- ти клас

Мнениеот Kiko76 » 06 Фев 2022, 13:42

Може би има грешка в условието
Kiko76
Нов
 
Мнения: 2
Регистриран на: 06 Фев 2022, 12:32
Рейтинг: 0

Re: Задача 6- ти клас

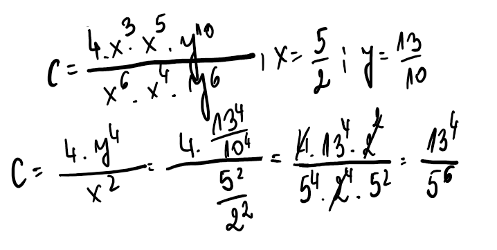
Мнениеот ammornil » 06 Фев 2022, 14:07

Аз предпочитам обикновени дроби...
Screenshot 2022-02-06 120550.png
Screenshot 2022-02-06 120550.png (42.83 KiB) Прегледано 1343 пъти
[tex]\color{lightseagreen}\text{''Който никога не е правил грешка, никога не е опитвал нещо ново.''} \\
\hspace{21em}\text{(Алберт Айнщайн)}[/tex]
Аватар
ammornil
Математик
 
Мнения: 3685
Регистриран на: 25 Май 2010, 19:28
Местоположение: Великобритания
Рейтинг: 1722


Назад към Степени, корени



Кой е на линия

Регистрирани потребители: Google [Bot]

Форум за математика(архив)