Регистрация не е нужна, освен при създаване на тема в "Задача на седмицата".
Степенн
от Гост » 09 Юни 2022, 19:52
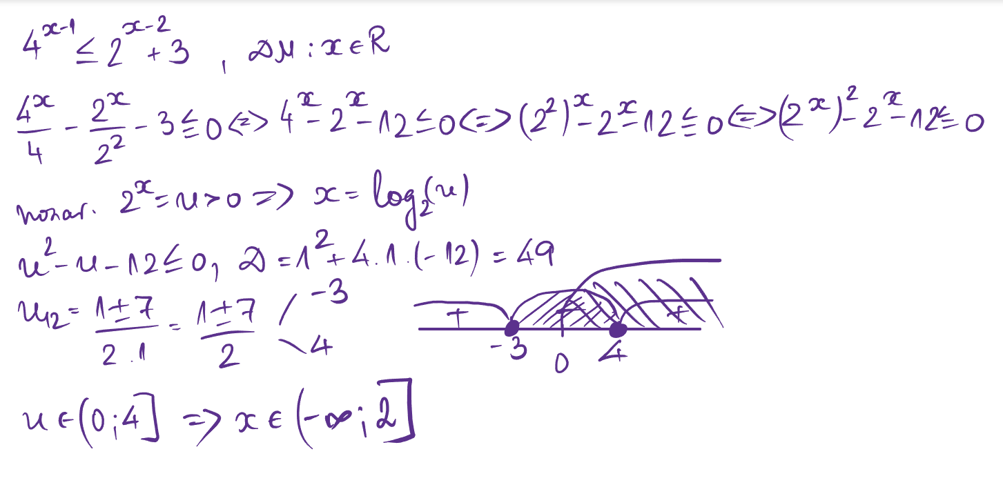
[tex]4^{ x-1 }[/tex] [tex]\le[/tex] [tex]2^{x-2}[/tex] +3
-
Гост
-
от ammornil » 09 Юни 2022, 20:42
Гост написа:[tex]4^{ x-1 }[/tex] [tex]\le[/tex] [tex]2^{x-2}[/tex] +3
[tex][/tex]
- Прикачени файлове
-

- Screenshot 2022-06-09 194126.png (74.01 KiB) Прегледано 1221 пъти
[tex]\color{lightseagreen}\text{''Който никога не е правил грешка, никога не е опитвал нещо ново.''} \\
\hspace{21em}\text{(Алберт Айнщайн)}[/tex]
-

ammornil
- Математик
-
- Мнения: 3719
- Регистриран на: 25 Май 2010, 19:28
- Местоположение: Великобритания
- Рейтинг: 1751
-
Назад към Степени, корени
Кой е на линия
Регистрирани потребители: Google Adsense [Bot], Google [Bot]