Регистрация не е нужна, освен при създаване на тема в "Задача на седмицата".

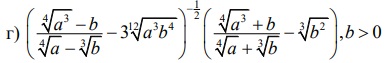
1.10.Г Опростете израза

1.10.Г Опростете израза

Мнениеот Людмил » 09 Юли 2022, 17:10

1.10.Г.jpg
1.10.Г.jpg (11.42 KiB) Прегледано 1369 пъти
Людмил
Нов
 
Мнения: 11
Регистриран на: 07 Юли 2022, 18:07
Рейтинг: 3

Re: 1.10.Г Опростете израза

Мнениеот Евва » 10 Юли 2022, 05:40

Получих [tex]\sqrt[4]{а}[/tex] .
Евва
Математик
 
Мнения: 1589
Регистриран на: 02 Дек 2018, 10:38
Местоположение: Шумен
Рейтинг: 1513

Re: 1.10.Г Опростете израза

Мнениеот S.B. » 11 Юли 2022, 09:01

[tex]( \frac{ \sqrt[4]{ a^{3 } }- b }{ \sqrt[4]{a} - \sqrt[3]{b} } - 3 \sqrt[12]{ a^{3 } b^{4 } } ) ^{- \frac{1}{2} }( \frac{ \sqrt[4]{ a^{3 }+ b } }{ \sqrt[4]{a}+ \sqrt[3]{b} } - \sqrt[3]{ b^{2 } }) =[/tex]

[tex]= ( \frac{ a^{ \frac{3}{4} }- b }{ a^{ \frac{1}{4} } - b^{ \frac{1}{3} } } - 3 a^{ \frac{1}{4} } b^{ \frac{1}{3} } ) ^{- \frac{1}{2} } ( \frac{ a^{ \frac{3}{4} } + b}{a^{ \frac{1}{4} } + b^{ \frac{1}{3} } } - b^{ \frac{2}{3} } ) =[/tex]

[tex]= ( \frac{ ( a^{ \frac{1}{4} }) ^{3 } - ( b^{ \frac{1}{3} }) ^{3 } }{ a^{ \frac{1}{4} } - b^{ \frac{1}{3} } } - 3 a^{ \frac{1}{4} } b^{ \frac{1}{3} } ) ^{ -\frac{1}{2} }( \frac{ ( a^{ \frac{1}{4} }) ^{3 } + ( b^{ \frac{1}{3} } )^{3 } }{ a^{ \frac{1}{4} } + b^{ \frac{1}{3} } } - b^{ \frac{2}{3} } ) =[/tex]

[tex]= ( \frac{( a^{ \frac{1}{4} } - b^{ \frac{1}{3} } )( a^{ \frac{2}{4} }+ a^{ \frac{1}{4} } b^{ \frac{1}{3} } + b^{ \frac{2}{3} } )}{ a^{ \frac{1}{4} }- b^{ \frac{1}{3} } } - 3 a^{ \frac{1}{4} } b^{ \frac{1}{3} }) ^{- \frac{1}{2} }( \frac{( a^{ \frac{1}{4} }+ b^{ \frac{1}{3} })( a^{ \frac{2}{4} } - a^{ \frac{1}{4} } b^{ \frac{1}{3} } + b^{ \frac{2}{3} }) }{ a^{ \frac{1}{4} }+ b^{ \frac{1}{3} } } - b^{ \frac{2}{3} }) =[/tex]

[tex]= ( a^{ \frac{2}{4} } + a^{ \frac{1}{4} } b^{ \frac{1}{3} } + b^{ \frac{2}{4} } - 3 a^{ \frac{1}{4} } b^{ \frac{1}{3} } )^{- \frac{1}{2} }( a^{ \frac{2}{4} } - a^{ \frac{1}{4} } b^{ \frac{1}{3} } + b^{ \frac{2}{3} } - b^{ \frac{2}{3} } ) =[/tex]

[tex]=( a^{ \frac{2}{4}}-2 a^{ \frac{1}{4} } b^{ \frac{1}{3} } + b^{ \frac{2}{3} } )^{ -\frac{1}{2} }( a^{ \frac{2}{4} } - a^{ \frac{1}{4} } b^{ \frac{1}{3} } ) =[/tex]

[tex]= ( ( a^{ \frac{1}{4} } - b^{ \frac{1}{3} }) ^{2 }) ^{- \frac{1}{2} } a^{ \frac{1}{4} }( a^{ \frac{1}{4} } - b^{ \frac{1}{3} }) =[/tex]

[tex]= a^{ \frac{1}{4} } \frac{ a^{ \frac{1}{4} }- b^{ \frac{1}{3} } }{ a^{ \frac{1}{4} }- b^{ \frac{1}{3} } } =[/tex]

[tex]= a^{ \frac{1}{4} } =[/tex]

[tex]= \sqrt[4]{a}[/tex]
Никой любовен роман не е разплакал толкова много хора,колкото учебникът по математика.
Ако нещо мърда - това е биология,ако мирише -това е химия,ако има сила - това е физика,а ако нищо не разбираш - това е математика
Аватар
S.B.
Математик
 
Мнения: 4346
Регистриран на: 22 Май 2017, 15:58
Рейтинг: 5269

Re: 1.10.Г Опростете израза

Мнениеот KOPMOPAH » 11 Юли 2022, 13:22

Поздравления за втория търпението за изписване в LaTex.
Вероятно в условието трябва да е $a >0$, знакът на $b$ май е без значение...
Намерете [tex]\lim_{n \to \infty}sin(2\pi e n!)[/tex]

Не бъркай очевидното с вярното! Очевидно е, че Слънцето обикаля Земята, ама не е вярно...
Когато се чудиш как да постъпиш, постъпи както трябва!
Аватар
KOPMOPAH
Математик
 
Мнения: 2551
Регистриран на: 03 Окт 2011, 22:10
Рейтинг: 3157


Назад към Степени, корени



Кой е на линия

Регистрирани потребители: Google [Bot]

Форум за математика(архив)