Регистрация не е нужна, освен при създаване на тема в "Задача на седмицата".

Защо се получава така

Защо се получава така

Мнениеот Гост » 06 Юли 2012, 13:38

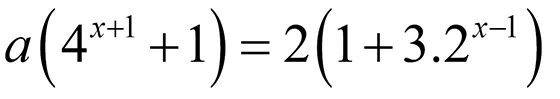
Параметричното уравнение ( да се намерят стойностите на "а")
a(4x+1 +1)=2(1+3.2x-1)
С една програма за решаване на задачки ми излиза, че дясната страна е равна на 8+2x някой ще ми каже ли дали това е вярно и как се получава :?:
Прикачени файлове
zadacha.JPG
zadacha.JPG (28.03 KiB) Прегледано 633 пъти
Гост
 


Re: Защо се получава така

Мнениеот Гост » 06 Юли 2012, 16:11

А как се решава ?
Гост
 

Re: Защо се получава така

Мнениеот Xixibg » 06 Юли 2012, 16:34

[tex]4^{x+1}=4.4^x=4.2^{2x}[/tex]
Полагаш [tex]2^x=y[/tex] и става квадратното уравнение:
[tex]4ay^2-3y+a-2=0[/tex]
Xixibg
 



Назад към Уравнения



Кой е на линия

Регистрирани потребители: Google [Bot]

Форум за математика(архив)