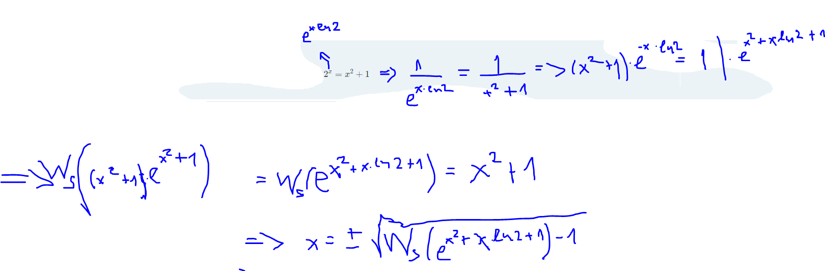
Гост написа:а между 0 и 1?
Оп, прав си, пропуск в аргументацията. Но важи същия принцип с производните: ще разгледаме разликата на двете страни като функция $f(x) = 2^x - x^2 - 1$, която вече казахме, че има нули при 0 и 1. Интересува ни само да покажем, че между тях няма други. Функцията е непрекъсната, затова ще разгледаме екстремумите. За целта:
$f'(x) = \ln2\cdot2^x - 2x$
$f''(x) = (\ln2)^2\cdot2^x - 2$
Аргументът, който ни интересува, бих построил така:
$f''$ е обикновена експоненциална функция, непрекъсната, с една нула, а именно $x = \log_2\left(\frac{2}{\ln^22}\right) > 1$ (лесно за съобразяване). Понеже за $x < 1$ имаме $f''(x) < 0$, то значи $f'$ намалява строго.
А понеже $f'(0) = ln2 > 0$ и $f'(1) = 2(\ln2 - 1) < 0$ и (както вече казахме) $f'$ намалява строго в този интервал (и отново важно да се отбележи - е непрекъсната), то значи $f'$ има точно една нула в интервала (оказа се по-тегава за смятане, а не ни е нужна точната й стойност).
Респективно това означава, че в интервала $x\in (0, 1)$, нашата оригинална функция $f$ има само един локален екстремум (и той е максимум заради посочената горе смяна на знака на $f'$), което ни гарантира, че не пресича нулата на друго място. Та да, с предния си пост имах предвид подобна акробатика с производните.

П.С. Ето и една графика за вдъхновение
https://www.desmos.com/calculator/7hjvs18zo2