Регистрация не е нужна, освен при създаване на тема в "Задача на седмицата".

На колко е равно?

На колко е равно?

Мнениеот Гост » 28 Фев 2022, 08:16

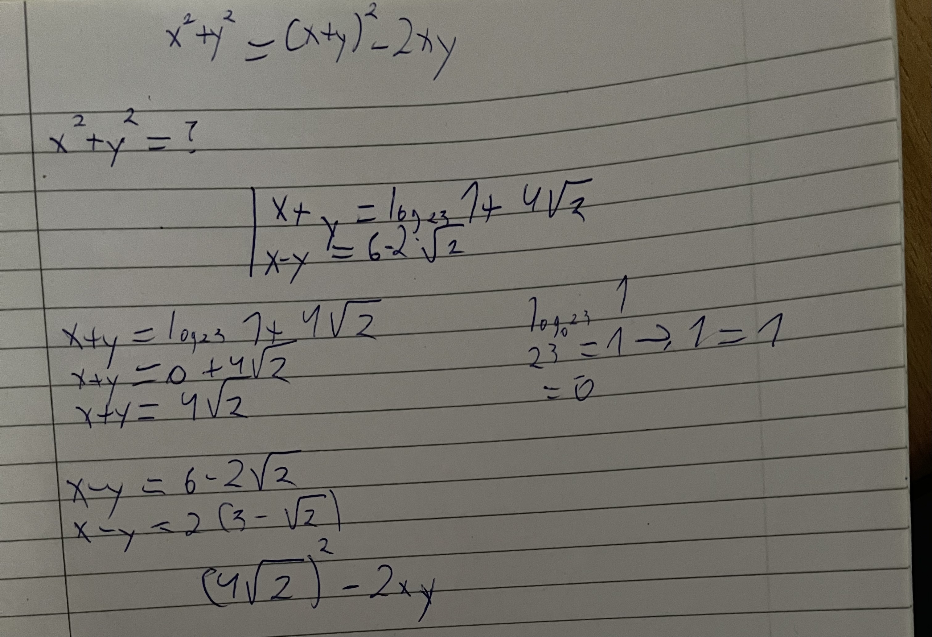
Прилагам снимка на условието на задачата и как аз съм започнал да я решавам, не знам дали така се решава, как да намеря 2xy, моля също да ми обясните ако това е правилният начин за тази задача!
Прикачени файлове
F98AC96F-242A-45F6-989D-E0C9B5B98734.jpeg
F98AC96F-242A-45F6-989D-E0C9B5B98734.jpeg (1.58 MiB) Прегледано 2070 пъти
Гост
 

Re: На колко е равно?

Мнениеот Гост » 28 Фев 2022, 08:17

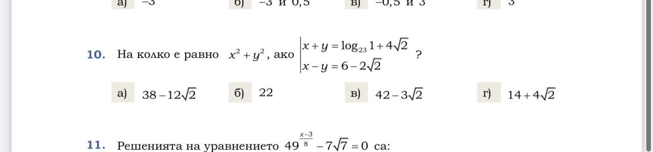
Това е условието!
Прикачени файлове
FBE722BE-EB4B-4997-B66F-3D671D6F66D0.jpeg
FBE722BE-EB4B-4997-B66F-3D671D6F66D0.jpeg (42.1 KiB) Прегледано 2069 пъти
Гост
 

Re: На колко е равно?

Мнениеот S.B. » 28 Фев 2022, 10:07

[tex]\begin{array}{|l} x + y = \log_{23 }1 + 4 \sqrt{2} \\ x - y = 6 -2 \sqrt{2} \end{array} \Leftrightarrow \begin{array}{|l} x + y = 4 \sqrt{2} \\ x - y = 6 - 2 \sqrt{2} \end{array}[/tex]

Повдигам на втора степен всяко от уравненията и получавам:

[tex]\begin{array}{|l} x^{2 } + 2xy + y^{2 } = 32 \\ x^{2 } - 2xy + y^{2 } = 44 - 24 \sqrt{2} \end{array}[/tex]

Събирам почленно и получавам:

[tex]2( x^{2 } + y^{2 } ) = 76 - 24 \sqrt{2} = 2(38 - 12 \sqrt{2} ) \Rightarrow[/tex]
$$x^{2 }+ y^{2 } = 38 - 12 \sqrt{2} $$
Никой любовен роман не е разплакал толкова много хора,колкото учебникът по математика.
Ако нещо мърда - това е биология,ако мирише -това е химия,ако има сила - това е физика,а ако нищо не разбираш - това е математика
Аватар
S.B.
Математик
 
Мнения: 4327
Регистриран на: 22 Май 2017, 15:58
Рейтинг: 5227


Назад към Уравнения



Кой е на линия

Регистрирани потребители: Google [Bot], Jerekioxerago

Форум за математика(архив)