Здравейте, може ли да помогнете с тези три задачи?
1) Намерете стойностите на реалния параметър m, за които уравнението [tex]2^{ x^{2 } }[/tex] + (m+5)*[tex]2^{ -x^{2 } }[/tex] - 2(m-1)=0 има единствен неотрицателен корен.
2) Намерете стойностите на реалния параметър m, за които уравнението 4*[tex]3^{ -x^{2 } }[/tex] + (3m-2)*[tex]3^{ x^{2 } }[/tex] -4m = 0 има единствен неположителен корен.
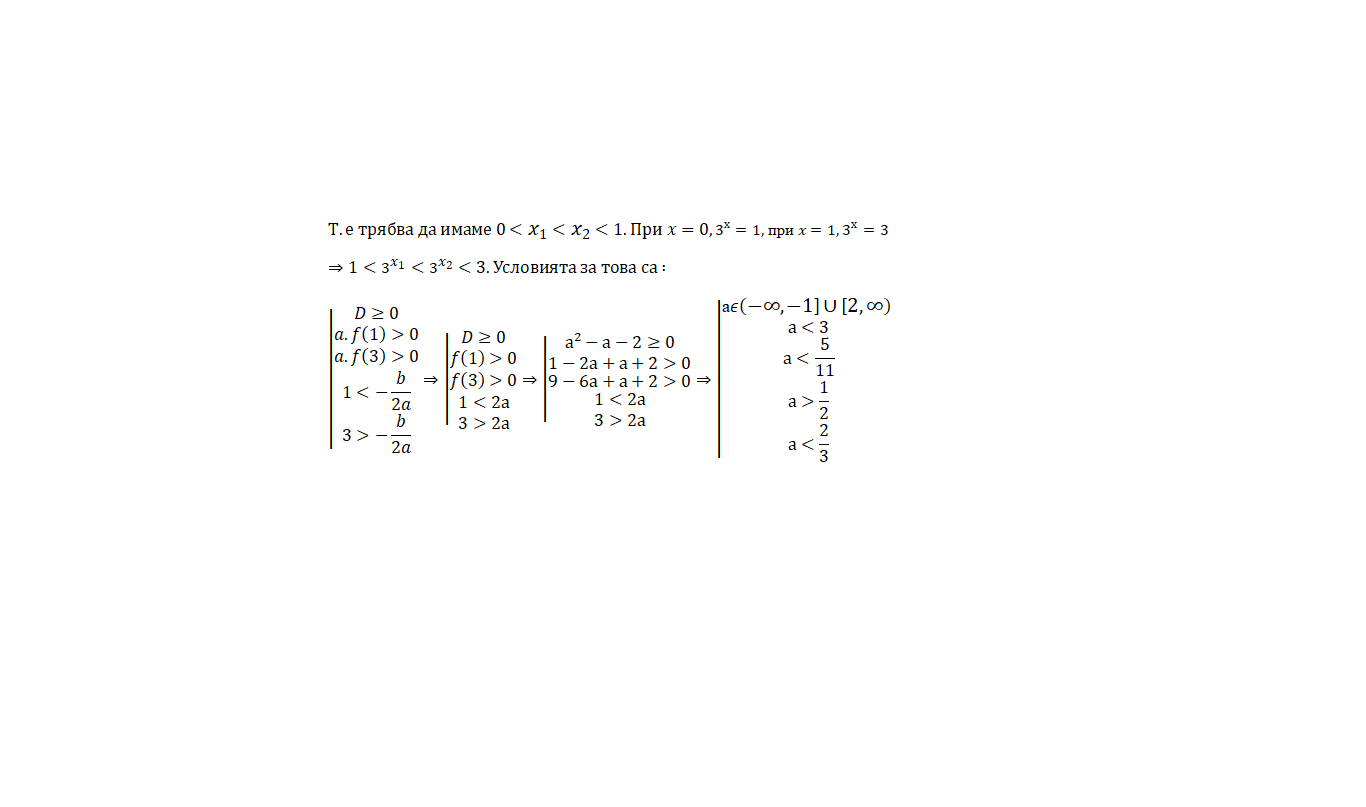
3) Решете уравнението [tex]25^{х }[/tex] - а.[tex]5^{х }[/tex] + 2а +5 = 0
Благодаря предварително за помощта. Спокойна вечер.

Меню