Регистрация не е нужна, освен при създаване на тема в "Задача на седмицата".

Модулно уравнение

Модулно уравнение

Мнениеот andrea_doll » 19 Юни 2011, 15:42

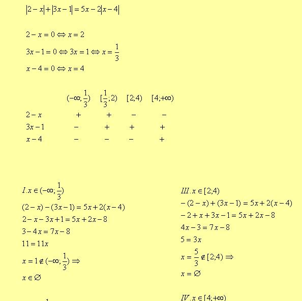
Имам съмнения за тази задача. В таблицата ми се струват объркани знаците. При 2-х от дясно наляво трябва да са плюсове до корена, а не както е тук с минуси. Ако бъркам ме поправете.
Прикачени файлове
модулно уравнение.JPG
модулно уравнение.JPG (28.81 KiB) Прегледано 749 пъти
andrea_doll
Фен на форума
 
Мнения: 194
Регистриран на: 30 Окт 2010, 11:18
Рейтинг: 1

Re: Модулно уравнение

Мнениеот strangerforever » 19 Юни 2011, 16:28

Всичко е наред.
Аватар
strangerforever
Математиката ми е страст
 
Мнения: 989
Регистриран на: 10 Апр 2010, 18:55
Рейтинг: 40

Re: Модулно уравнение

Мнениеот andrea_doll » 19 Юни 2011, 17:02

За мен не е наред. Някой да ми обясни за знаците в таблицата.
andrea_doll
Фен на форума
 
Мнения: 194
Регистриран на: 30 Окт 2010, 11:18
Рейтинг: 1

Re: Модулно уравнение

Мнениеот Mr.G{}{}Fy » 19 Юни 2011, 17:21

andrea_doll написа:Имам съмнения за тази задача. В таблицата ми се струват объркани знаците. При 2-х от дясно наляво трябва да са плюсове до корена, а не както е тук с минуси. Ако бъркам ме поправете.

Добре взимаме по 1 число от всеки интервал от 1-вия(от дясно наляво) нека бъде 100 сега заместваме в 2-x стойността на x=100 ... 2-100 =-98 знчи знакът е - ...аналогично за другият интервал.Както каза strangerforever наред са си нещата :)
Mr.G{}{}Fy
Математиката ми е страст
 
Мнения: 826
Регистриран на: 07 Фев 2010, 01:42
Рейтинг: 16

Re: Модулно уравнение

Мнениеот andrea_doll » 22 Юни 2011, 20:40

Mr.G{}{}Fy написа:
andrea_doll написа:Имам съмнения за тази задача. В таблицата ми се струват объркани знаците. При 2-х от дясно наляво трябва да са плюсове до корена, а не както е тук с минуси. Ако бъркам ме поправете.

Добре взимаме по 1 число от всеки интервал от 1-вия(от дясно наляво) нека бъде 100 сега заместваме в 2-x стойността на x=100 ... 2-100 =-98 знчи знакът е - ...аналогично за другият интервал.Както каза strangerforever наред са си нещата :)

Има логика, но са ме учили винаги от ляво на дясно, че се започва с + и затова се учудих.
andrea_doll
Фен на форума
 
Мнения: 194
Регистриран на: 30 Окт 2010, 11:18
Рейтинг: 1

Re: Модулно уравнение

Мнениеот Mr.G{}{}Fy » 22 Юни 2011, 23:17

andrea_doll написа:Има логика, но са ме учили винаги от ляво на дясно, че се започва с + и затова се учудих.

Това не е вярно
Mr.G{}{}Fy
Математиката ми е страст
 
Мнения: 826
Регистриран на: 07 Фев 2010, 01:42
Рейтинг: 16

Re: Модулно уравнение

Мнениеот ganka simeonova » 23 Юни 2011, 19:36

andrea_doll написа:]Имам съмнения за тази задача. В таблицата ми се струват объркани знаците. При 2-х от дясно наляво трябва да са плюсове до корена, а не както е тук с минуси. Ако бъркам ме поправете.
Има логика, но са ме учили винаги от ляво на дясно, че се започва с + и затова се учудих.

Лелееее, кой те е учил така?
+ и _ показват знака, който приема една функция в даден интервал. Няма точна схема.
ganka simeonova
 

Re: Модулно уравнение

Мнениеот andrea_doll » 27 Юни 2011, 15:45

[/quote]
Лелееее, кой те е учил така?
+ и _ показват знака, който приема една функция в даден интервал. Няма точна схема.[/quote]
Мии учителката от уроците....Сега да питам има ли такова правило, че знакът се определя от знака пред х? Смисъл както се получи 2-х, пред х има минус, значи от дясно на ляво започваме с -. А като имаме 3х-1, виждам, че пред х е +, следователно започваме с +.
Има ли някаква логика или винаги с проверка да си ги пиша знаците?
andrea_doll
Фен на форума
 
Мнения: 194
Регистриран на: 30 Окт 2010, 11:18
Рейтинг: 1

Re: Модулно уравнение

Мнениеот prodanov » 27 Юни 2011, 17:34

Има.
(x-3)(3-x)>0 Единия е плюс, другия е минус. Плюс по минус = минус => най-дясно е минус.
(x-3)(3-x)^2>0. Плюс по минус по минус = плюс => най-вдясно е плюс.
Ако полинома не е разложен, гледаш знака пред старшия.

Чертането на интервалите става излишно по тоя начин, само ти тряя малко повече въображение. :geek:
prodanov
Напреднал
 
Мнения: 470
Регистриран на: 09 Юли 2010, 21:03
Рейтинг: 10

Re: Модулно уравнение

Мнениеот mkmarinov » 27 Юни 2011, 20:24

Друг вариант е да си вземеш произволно число от най-десният интервал, да заместиш с него и да провериш знака.
mkmarinov
Математиката ми е страст
 
Мнения: 983
Регистриран на: 23 Яну 2010, 23:03
Рейтинг: 15


Назад към Уравнения



Кой е на линия

Регистрирани потребители: Google Adsense [Bot], Google [Bot]

Форум за математика(архив)