Регистрация не е нужна, освен при създаване на тема в "Задача на седмицата".

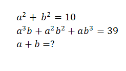
Два реда задача търсим a+b=?

Два реда задача търсим a+b=?

Мнениеот qwerty12 » 12 Юни 2013, 08:34

Отново проста задачка от два реда

Благодаря,
Прикачени файлове
2.png
2.png (2.38 KiB) Прегледано 441 пъти
qwerty12
Нов
 
Мнения: 9
Регистриран на: 10 Юни 2013, 14:41
Рейтинг: 0

Re: Два реда задача търсим a+b=?

Мнениеот mail_dinko » 12 Юни 2013, 14:02

[tex]a^2+b^2=10[/tex]
[tex]a^3 b + a^2b^2+ab^3=39[/tex]

[tex]a^2+b^2+2ab-2ab=10[/tex]
[tex]ab(a^2+ab+b^2)=39[/tex]

[tex](a+b)^2-2ab=10[/tex]
[tex]ab(a^2+ab+b^2+ab-ab)=39[/tex]

[tex](a+b)^2-2ab=10[/tex]
[tex]ab[(a+b)^2-ab]=39[/tex]

Полагаме
[tex]a+b=x[/tex] и [tex]ab=y[/tex]
[tex]x^2-2y=10[/tex]
[tex]y[x^2-y]=39|:y[/tex]

[tex]x^2-2y=10[/tex]
[tex]x^2-y=\frac {39}{y}[/tex]

От първото вадим второто
[tex]x^2-2y-x^2+y=10-\frac {39}{y}[/tex]
[tex]y=\frac{39}{y}-10|.y[/tex]
[tex]y^2+10y-39=0[/tex]
[tex]D=25+39=64=8^2[/tex]
[tex]y_1=-13[/tex]
[tex]y_2=3[/tex]

От тук намираме хикс
[tex]x^2-2y=10--->x =\pm \sqrt {10+2y}[/tex]
Първи случай с -13--->[tex]x =\pm \sqrt {-16}[/tex] Не може да коренуваме отриццателно число

Втори случай с 3 --->[tex]x =\pm \sqrt {16}[/tex]
[tex]x_1=4[/tex] и x_2=-4

Така ни се получават следните системи
[tex]a+b=4[/tex]
[tex]ab=3[/tex]
Като се реши се получават (3;1) и (1;3)

И другата система
[tex]a+b=-4[/tex]
[tex]ab=3[/tex]
(-3;-1) и (-1;-3)
Пишете на КИРИЛИЦА! Не е толкова трудно! По-удобно е за всички! Дайте палец нагоре, ако сте доволни от отг.
mail_dinko
Математик
 
Мнения: 1081
Регистриран на: 01 Апр 2010, 17:08
Местоположение: София
Рейтинг: 536

Re: Два реда задача търсим a+b=?

Мнениеот qwerty12 » 13 Юни 2013, 08:14

Благодаря :)
qwerty12
Нов
 
Мнения: 9
Регистриран на: 10 Юни 2013, 14:41
Рейтинг: 0

Re: Два реда задача търсим a+b=?

Мнениеот Гост1 » 13 Юни 2013, 12:26

[tex]a^3b+a^2b^2+ab^3=39[/tex][tex]\Leftrightarrow[/tex][tex]ab(a^2+b^2)+a^2b^2-39=0[/tex][tex]\Leftrightarrow[/tex][tex]10ab+a^2b^2-39=0[/tex][tex]\Leftrightarrow[/tex][tex](ab-3)(ab+13)=0[/tex][tex]\Rightarrow[/tex][tex](a+b)^2=a^2+b^2+2ab=10+2ab=16\vee -16[/tex][tex]\Rightarrow[/tex][tex]a+b=\pm4[/tex].
Гост1
Нов
 
Мнения: 90
Регистриран на: 26 Юни 2012, 15:39
Рейтинг: 14


Назад към Неравенства



Кой е на линия

Регистрирани потребители: Google Adsense [Bot], Google [Bot]

Форум за математика(архив)