Регистрация не е нужна, освен при създаване на тема в "Задача на седмицата".

Система с ирационални неравенства

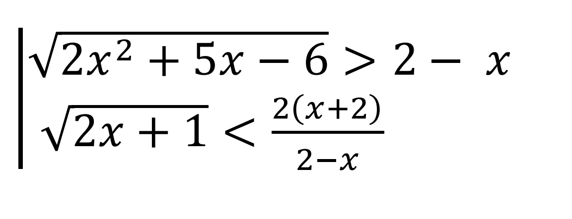
Система с ирационални неравенства

Мнениеот Гост » 17 Дек 2023, 23:20

3.jpg
3.jpg (40.15 KiB) Прегледано 1190 пъти
Гост
 

Re: Задача

Мнениеот Гост » 18 Дек 2023, 01:37

opredeli purvo DM
Гост
 

Re: Задача

Мнениеот Гост » 18 Дек 2023, 06:23

Най-добре ги номерирай тези ЗАДАЧИ и СИСТЕМИ!
На човек му се отщява да решава!Вече уригвам на ЗАДАЧА!
Гост
 

Re: Система с ирационални неравенства

Мнениеот Гост » 18 Дек 2023, 15:04

ama ne svaliaj i ti dopulnitelno klasata... pishe se Origvam...
Гост
 


Назад към Неравенства



Кой е на линия

Регистрирани потребители: Google [Bot]

Форум за математика(архив)