Регистрация не е нужна, освен при създаване на тема в "Задача на седмицата".

Логаритмични уравнения

Логаритмични уравнения

Мнениеот ghostcat16 » 26 Фев 2014, 14:31

Помощ :(
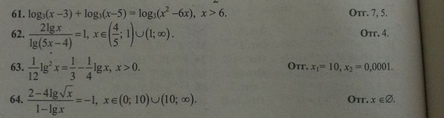
Прикачени файлове
1619142_783460235017129_688475046_n.jpg
1619142_783460235017129_688475046_n.jpg (85.96 KiB) Прегледано 588 пъти
564696_783460058350480_578181262_n.jpg
564696_783460058350480_578181262_n.jpg (106.66 KiB) Прегледано 588 пъти
Последна промяна ghostcat16 на 26 Фев 2014, 15:50, променена общо 1 път
ghostcat16
Нов
 
Мнения: 2
Регистриран на: 26 Фев 2014, 14:29
Рейтинг: 0

Re: Логаритмични уравнения

Мнениеот kmitov » 26 Фев 2014, 15:29

То по принцип всичко е ясно. Даже как се прави атомна бомба.

Ето ти едно за мостра.

[tex]\lg (5x-2)=\frac{1}{2}\lg 324 -\frac{1}{3}\lg 64[/tex]

[tex]\lg (5x-2)=\lg 324^{1/2} -\lg 64^{1/3}[/tex]

[tex]\lg (5x-2)=\lg \frac{18}{4}[/tex]

[tex]5x-2= 4,5[/tex]

[tex]5x=6,5[/tex]

[tex]x=6,5:5[/tex]

[tex]x=1,3[/tex]
kmitov
Математиката ми е страст
 
Мнения: 562
Регистриран на: 06 Ное 2013, 17:42
Рейтинг: 382


Назад към Логаритми



Кой е на линия

Регистрирани потребители: Google [Bot]

Форум за математика(архив)