Регистрация не е нужна, освен при създаване на тема в "Задача на седмицата".

2 задачки с граници

2 задачки с граници

Мнениеот djoni » 04 Авг 2011, 15:13

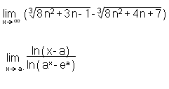
Здравейте.Ако някой иска нека ми помогне за следните граници :)
Мисля , че втората трябва да стане с Лопитал, но не съм сигурен.
Прикачени файлове
math_image.gif
math_image.gif (1.8 KiB) Прегледано 574 пъти
Последна промяна djoni на 04 Авг 2011, 19:54, променена общо 1 път
djoni
Нов
 
Мнения: 8
Регистриран на: 27 Авг 2010, 20:56
Рейтинг: 0

Re: 2 задачки с граници

Мнениеот Добромир Глухаров » 04 Авг 2011, 18:25

[tex]\lim_{n \to \infty}\(\sqrt[3]{8n^2+3n-1}-\sqrt[3]{8n^2+4n+7}\)=[/tex]

[tex]=\lim_{n \to \infty}\frac{\(\sqrt[3]{8n^2+3n-1}-\sqrt[3]{8n^2+4n+7}\)\[\(\sqrt[3]{8n^2+3n-1}\)^2+\sqrt[3]{8n^2+3n-1}\sqrt[3]{8n^2+4n+7}+\(\sqrt[3]{8n^2+4n+7}\)^2\]}{\(\sqrt[3]{8n^2+3n-1}\)^2+\sqrt[3]{8n^2+3n-1}\sqrt[3]{8n^2+4n+7}+\(\sqrt[3]{8n^2+4n+7}\)^2}=[/tex]

[tex]=\lim_{n \to \infty}\frac{\(\sqrt[3]{8n^2+3n-1}\)^3-\(\sqrt[3]{8n^2+4n+7}\)^3}{\sqrt[3]{n^4}\[\sqrt[3]{\(8+\frac{3}{n}-\frac{1}{n^2}\)^2}+\sqrt[3]{8+\frac{3}{n}-\frac{1}{n^2}}\sqrt[3]{8+\frac{4}{n}+\frac{7}{n^2}}+\sqrt[3]{\(8+\frac{4}{n}+\frac{7}{n^2}\)^2}\]}=[/tex]

[tex]=\lim_{n \to \infty}\frac{8n^2+3n-1-8n^2-4n-7}{\sqrt[3]{n^4}\[\sqrt[3]{8^2}+\sqrt[3]{8}\sqrt[3]{8}+\sqrt[3]{8^2}\]}=[/tex]

[tex]=\lim_{n \to \infty}\frac{-n-8}{\sqrt[3]{n^4}.(2^2+2.2+2^2)}=\frac{1}{12}.\lim_{n \to \infty}\frac{-1-\frac{8}{n}}{\sqrt[3]{n}}=0[/tex]
Аватар
Добромир Глухаров
Математик
 
Мнения: 2080
Регистриран на: 11 Яну 2010, 13:23
Рейтинг: 2178

Re: 2 задачки с граници

Мнениеот Добромир Глухаров » 04 Авг 2011, 18:48

[tex]\lim_{x\to a}\frac{ln(x-a)}{ln\(e^x-e^a\)}=\[\frac{\infty}{\infty}\]=[/tex]

[tex]=\lim_{x\to a}\frac{\frac{1}{x-a}}{\frac{e^x}{e^x-e^a}}=[/tex]

[tex]=\lim_{x\to a}e^{-x}.\lim_{x\to a}\frac{e^x-e^a}{x-a}=e^{-a}.\[\frac{0}{0}\]=[/tex]

[tex]=e^{-a}.\lim_{x\to a}\frac{e^x}{1}=e^{-a}.e^a=1[/tex]
Аватар
Добромир Глухаров
Математик
 
Мнения: 2080
Регистриран на: 11 Яну 2010, 13:23
Рейтинг: 2178

Re: 2 задачки с граници

Мнениеот djoni » 04 Авг 2011, 19:53

Благодаря! ;)
djoni
Нов
 
Мнения: 8
Регистриран на: 27 Авг 2010, 20:56
Рейтинг: 0


Назад към Граници



Кой е на линия

Регистрирани потребители: Google [Bot]

Форум за математика(архив)