Регистрация не е нужна, освен при създаване на тема в "Задача на седмицата".

някой да бутне едно рамо за подточките

някой да бутне едно рамо за подточките

Мнениеот go6o6911 » 26 Сеп 2016, 14:45

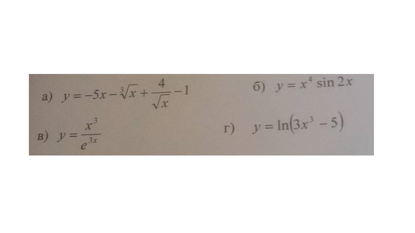
qwedwe.png
qwedwe.png (87.99 KiB) Прегледано 515 пъти
go6o6911
Нов
 
Мнения: 12
Регистриран на: 12 Юни 2016, 11:34
Рейтинг: 0

Re: някой да бутне едно рамо за подточките

Мнениеот Knowledge Greedy » 27 Сеп 2016, 07:39

Бутни една помощ, какво да ги правим тия подточки :!: :?: 8-)
Feci, quod potui, faciant meliora p0tentes.
Сторих каквото можах, по-добрите по-добро да направят.
Knowledge Greedy
Професор
 
Мнения: 2947
Регистриран на: 20 Фев 2010, 11:40
Рейтинг: 2829

Re: някой да бутне едно рамо за подточките

Мнениеот mail_dinko » 27 Сеп 2016, 10:15

Бас ловя, че целта е да намерим първа производна
[tex]y=-5x-x^ { \frac {1}{3}} + 4 x^ { - \frac {1}{2} } - 1[/tex]
[tex]y'=-5 - \frac {1}{3}x ^{-\frac {2}{3}}- 2 x^ { - \frac {3}{2} }[/tex]
Пишете на КИРИЛИЦА! Не е толкова трудно! По-удобно е за всички! Дайте палец нагоре, ако сте доволни от отг.
mail_dinko
Математик
 
Мнения: 1081
Регистриран на: 01 Апр 2010, 17:08
Местоположение: София
Рейтинг: 537


Назад към Функции и производни



Кой е на линия

Регистрирани потребители: Google [Bot]

Форум за математика(архив)