Регистрация не е нужна, освен при създаване на тема в "Задача на седмицата".

Триъгълник

Триъгълник

Мнениеот Гост » 26 Ное 2024, 18:41

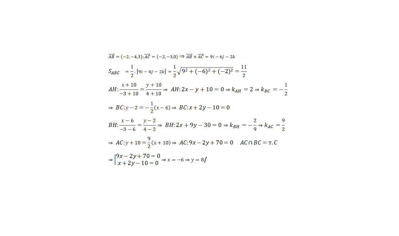
Здравейте може ли малко помощ по отношение на задачите: 1. Съществува ли триъгълник с върхове A(0, 4,−2), B(−2, 0, 1), C(−2, 1,−2)? Ако да, то
да се намери лицето му и дължината към страната BC.


2. Дадени са двата върха A(−10;−10) и B(6; 2) на триъгълника △ABC и пресечната
точка H(−3; 4) на височините му. Да се определят координатите на C.
Гост
 

Re: Триъгълник

Мнениеот Евва » 27 Ное 2024, 07:46

За 2 зад. получавам отговор С( -6; 8 )
Решението ми е последователно ,но доста мудно и продължително .
Сигурно нещо ми убягва .
Евва
Математик
 
Мнения: 1589
Регистриран на: 02 Дек 2018, 10:38
Местоположение: Шумен
Рейтинг: 1513

Re: Триъгълник

Мнениеот ptj » 27 Ное 2024, 08:48

2-ра:
1.) Запиши уравнението на правата, съдържаща височината от C, като уравнение през точка при даден нормален вектор.

2.) Нека [tex]C(x_C;y_C)[/tex] . Запиши координатите на вектора [tex]\vec{BH}[/tex]. Аналогично на 1.) запиши уравнението на правата [tex]AC[/tex] (през точка по даден нормален вектор).

3.) Реши системата за 1.) и 2.) . Сечението на двете прави е върха [tex]C[/tex].

1-ва:

Намери координатите на кои да е два вектора съдържащи две от дадените 3 точки и покажи, че не са колинеарни (за да съществува триъгълник).

Образувай векторите съответстващи на трите страни и намери тяхната дължина. Лицето с Хероновата формула.

П.П. Има и други начини.
Например от скаларното произведение на 2 вектора може да намериш косинуса на ъгъла между съответните вектори и после синуса на същия ъгъл...
Последна промяна ptj на 27 Ное 2024, 08:58, променена общо 2 пъти
ptj
Математик
 
Мнения: 3305
Регистриран на: 26 Юли 2010, 19:17
Рейтинг: 1112

Re: Триъгълник

Мнениеот batsev » 27 Ное 2024, 08:50

За 1-ва - правим вектори AB и AC, умножаваме ги векторно, на получения вектор смятаме дължината и я делим на 2, за да получим лицето. Ако получим 0, значи трите точки лежат на 1 права и не съществува такъв триъгълник.
2-ра - по две точки правим уравнение на височините. Понеже са [tex]\bot[/tex] съответно на AC и BC, намираме ъгловите коефициенти на AC и BC. Припомням, че
умножени ъгловите коефициенти на 2 перпендикулярни прави дават -1. Оттам по коефициент и точка правим у-я на AC и BC, засичаме 2-те у-я в система и получаваме координатите на т.C.
Вечерта, ако имам малко свободно време, ще ги разпиша.
Темата със сигурност не е решаване на триъгълник. Това е аналитична геометрия, вектори и права в равнина.
Последна промяна batsev на 27 Ное 2024, 09:02, променена общо 1 път
batsev
Нов
 
Мнения: 58
Регистриран на: 14 Мар 2024, 09:45
Рейтинг: 25

Re: Триъгълник

Мнениеот ptj » 27 Ное 2024, 09:01

Почвам да остарявам, сетих се за свойството на смесеното произведение (обем), но съм забравил с-вото на векторното произведение. :roll: :shock:
ptj
Математик
 
Мнения: 3305
Регистриран на: 26 Юли 2010, 19:17
Рейтинг: 1112

Re: Триъгълник

Мнениеот batsev » 27 Ное 2024, 21:12

Обещаното описание
Прикачени файлове
Untitled2.png
Untitled2.png (19.52 KiB) Прегледано 236 пъти
batsev
Нов
 
Мнения: 58
Регистриран на: 14 Мар 2024, 09:45
Рейтинг: 25

Re: Триъгълник

Мнениеот Евва » 28 Ное 2024, 05:28

В решението си използвах само уравнение на права ,уравнение на окръжност и системи уравнения .
Явно затова решението ми е толкова дълго и бавно .
Евва
Математик
 
Мнения: 1589
Регистриран на: 02 Дек 2018, 10:38
Местоположение: Шумен
Рейтинг: 1513

Re: Триъгълник

Мнениеот Гост » 03 Дек 2024, 11:21

Благодаря много!
Гост
 


Назад към Решаване на триъгълник



Кой е на линия

Регистрирани потребители: Google [Bot]

Форум за математика(архив)