Регистрация не е нужна, освен при създаване на тема в "Задача на седмицата".

Куб

Куб

Мнениеот Гост » 14 Юни 2021, 08:32

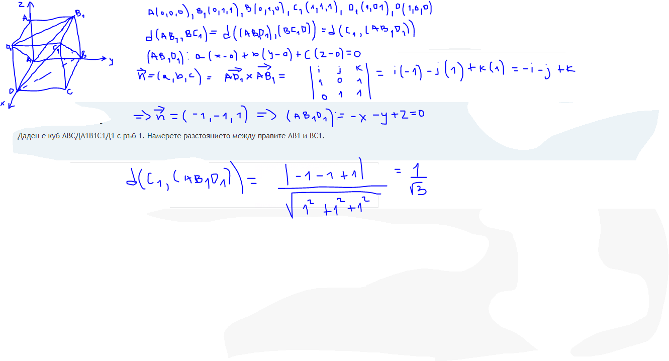
Даден е куб АВСДА1В1С1Д1 с ръб 1. Намерете разстоянието между правите АВ1 и ВС1.
Гост
 

Re: Куб

Мнениеот ammornil » 14 Юни 2021, 16:17

Ако построим другия диагонал в стената [tex]BCC_1B_1[/tex], [tex]BC_1 \cap CB_1=F[/tex]. Диагоналите на квадрата са взаимно перпендикулярни и се разполовяват от пресечната си точка.
[tex]F[/tex] е ортогнална проекция на [tex]B_1[/tex] вурху правата [tex]B_1F[/tex], следователно е търсеното разстояние.

[tex]B_1F=\frac{1}{2}CB_1=\frac{1}{2}\sqrt{B_1B^2+BC^2}=\frac{1}{2}\sqrt{1^2+1^2}=\frac{\sqrt{2}}{2}[/tex]

[tex][/tex]
Прикачени файлове
210614_01.png
210614_01.png (13.13 KiB) Прегледано 376 пъти
[tex]\color{lightseagreen}\text{''Който никога не е правил грешка, никога не е опитвал нещо ново.''} \\
\hspace{21em}\text{(Алберт Айнщайн)}[/tex]
Аватар
ammornil
Математик
 
Мнения: 3720
Регистриран на: 25 Май 2010, 19:28
Местоположение: Великобритания
Рейтинг: 1751

Re: Куб

Мнениеот ammornil » 14 Юни 2021, 23:23

ammornil написа:Ако построим другия диагонал в стената [tex]BCC_1B_1[/tex], [tex]BC_1 \cap CB_1=F[/tex]. Диагоналите на квадрата са взаимно перпендикулярни и се разполовяват от пресечната си точка.
[tex]F[/tex] е ортогнална проекция на [tex]B_1[/tex] вурху правата [tex]\cancel{B_1F}[/tex] [tex]BC_1[/tex], следователно е търсеното разстояние.

[tex]B_1F=\frac{1}{2}CB_1=\frac{1}{2}\sqrt{B_1B^2+BC^2}=\frac{1}{2}\sqrt{1^2+1^2}=\frac{\sqrt{2}}{2}[/tex]

[tex][/tex]


По горе съм допуснал грешка в именуването на правата, върху която [tex]F[/tex] е проекция на [tex]B_1[/tex]. Вярната права е [tex]BC_1[/tex].
[tex]\color{lightseagreen}\text{''Който никога не е правил грешка, никога не е опитвал нещо ново.''} \\
\hspace{21em}\text{(Алберт Айнщайн)}[/tex]
Аватар
ammornil
Математик
 
Мнения: 3720
Регистриран на: 25 Май 2010, 19:28
Местоположение: Великобритания
Рейтинг: 1751

Куб

Мнениеот KOPMOPAH » 14 Юни 2021, 23:26

Колега ammornil, грешите. Отсечката $B_1F$ на Вашия чертеж не е разстоянието между $AB_1$ и $BC_1$.

Куб-14.06-2.png
Куб-14.06-2.png (15.51 KiB) Прегледано 360 пъти

Ако се прекарат сеченията с равнини, определени от точките $A$, $B_1$ и $D_1$, съответно $B$, $C_1$ и $D$ то не е трудно да се докаже, че $\red{JK}$ на горния чертеж е търсеното разстояние, като $JK=\frac 13 CA_1 =\frac {\sqrt 3}3$.
Намерете [tex]\lim_{n \to \infty}sin(2\pi e n!)[/tex]

Не бъркай очевидното с вярното! Очевидно е, че Слънцето обикаля Земята, ама не е вярно...
Когато се чудиш как да постъпиш, постъпи както трябва!
Аватар
KOPMOPAH
Математик
 
Мнения: 2551
Регистриран на: 03 Окт 2011, 22:10
Рейтинг: 3157

Re: Куб

Мнениеот ammornil » 15 Юни 2021, 03:51

Да, правилно. Кръстосани прави в успоредни равнини, и оттам разстоянието между равнините, ще е разстояние между правите... :?
Благодаря за корекцията.
[tex]\color{lightseagreen}\text{''Който никога не е правил грешка, никога не е опитвал нещо ново.''} \\
\hspace{21em}\text{(Алберт Айнщайн)}[/tex]
Аватар
ammornil
Математик
 
Мнения: 3720
Регистриран на: 25 Май 2010, 19:28
Местоположение: Великобритания
Рейтинг: 1751

Re: Куб

Мнениеот Гост » 17 Юни 2021, 12:45

cuu.PNG
cuu.PNG (56.96 KiB) Прегледано 320 пъти
cuu.PNG
cuu.PNG (56.96 KiB) Прегледано 320 пъти
Гост
 


Назад към Стереометрия



Кой е на линия

Регистрирани потребители: Google [Bot]

Форум за математика(архив)