
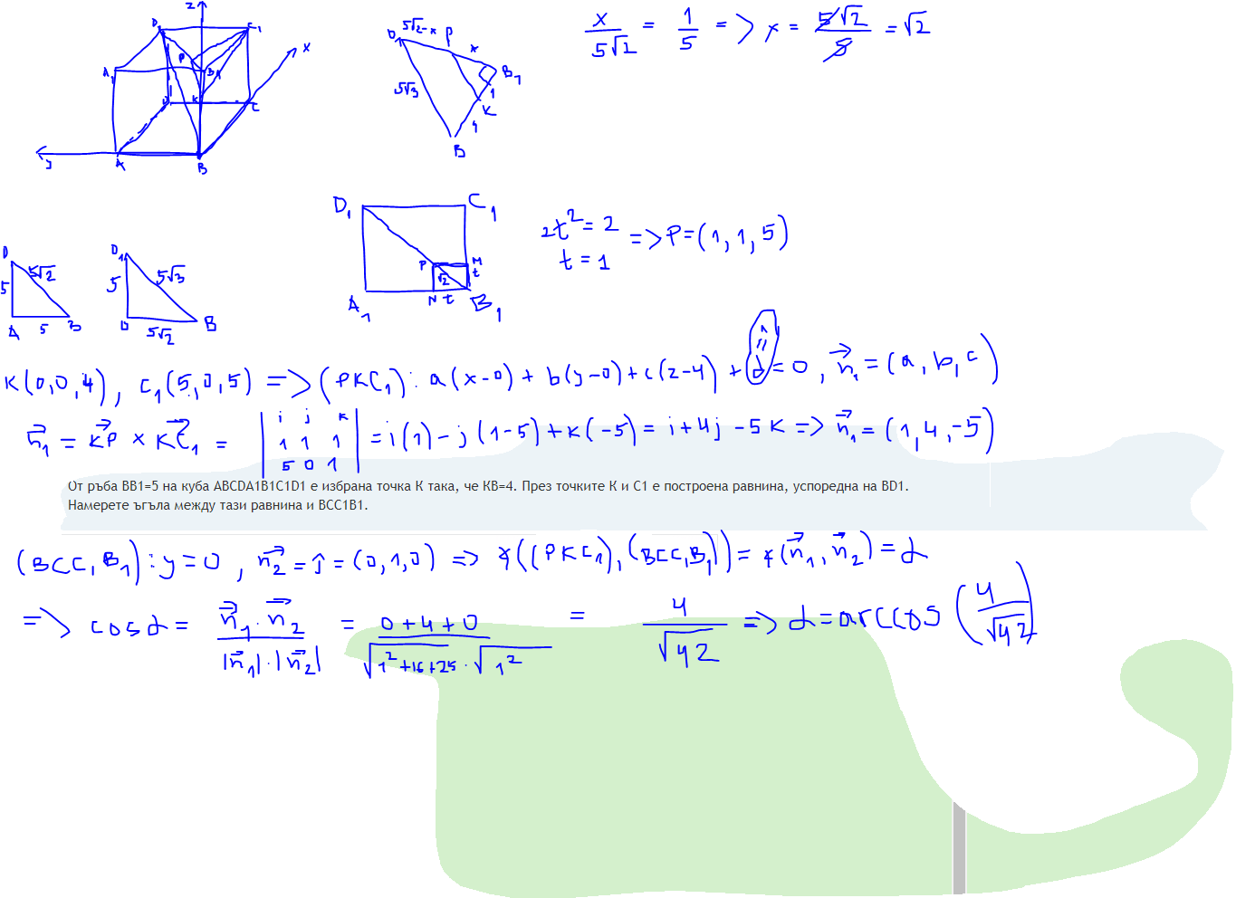
- Куб-16.06.png (18.38 KiB) Прегледано 393 пъти
Един възможен подход към решението:
Триъгълникът $\triangle KB_1C_1$ е правоъгълен със страни $KB_1=1$, $B_1C_1=5$ и $KC_1=\sqrt{26}$. Неговата височина $B_1H$ е $$B_1H=\frac{KB_1.B_1C_1}{KC_1}=\frac {5}{\sqrt{26}}=\frac{5\sqrt {26}}{26}$$Остава да се намери $JH$ или $JB_1$ и тогава имаме косинуса или тангенса на търсения ъгъл $\alpha$:$$\cos \alpha = \frac{B_1H}{JH}, ~~\tg \alpha =\frac {JB_1}{B_1H}$$
За $\triangle B_1IC_1$ имаме, че $B_1I=\sqrt2,~B_1C_1=5, \measuredangle IB_1C_1=45^\circ$, тогава по косинусова теорема:$$C_1I^2=B_1I^2+B_1C_1-2B_1I.B_1C_1\cos 45^\circ=2+25-2\sqrt 2.5.\frac{\sqrt 2}2\Rightarrow C_1I=\sqrt{17}$$
Сега по синусова теорема намираме $\sin IC_1B_1$ $$\frac{C_1I}{\sin 45^\circ}=\frac{IB_1}{\sin \measuredangle IC_1B_1} \Rightarrow \sin \measuredangle IC_1B_1=\frac {\sqrt{2}.\frac {\sqrt 2}2}{\sqrt {17}}=\frac 1{\sqrt {17}} \Rightarrow \cos \measuredangle IC_1B_1=\frac 4{\sqrt {17}} \Rightarrow \tg \measuredangle IC_1B_1=\frac 14\Rightarrow JB_1=\frac 54$$
$$\tg \alpha =\frac{JB_1}{B_1H}=\frac {\displaystyle \frac 54}{\displaystyle \frac{5\sqrt {26}}{26}}=\frac {\sqrt {26}}{4}$$
Доста никакъв отговор за толкова старания и страдания, дано не съм сгрешил някъде ...
Сигурно има и по-кратък начин
