Регистрация не е нужна, освен при създаване на тема в "Задача на седмицата".

Комплексни числа задачка

Комплексни числа задачка

Мнениеот hissatsu » 10 Ное 2015, 10:02

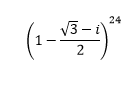
Здравейте, Имам нужда от малко помощ с тази задача от Комплексни числа.
Понеже за 1-ви път пиша във форума и не съм сигурен как правилно трябва да се състави задачата, и за това ще прикрепя снимка със нея.
Благодаря Ви много! :)
Прикачени файлове
1.3 b.png
1.3 b.png (1.25 KiB) Прегледано 1196 пъти
hissatsu
Нов
 
Мнения: 2
Регистриран на: 10 Ное 2015, 09:32
Рейтинг: 0

Re: Комплексни числа задачка

Мнениеот Knowledge Greedy » 10 Ное 2015, 11:15

За да можеш да повдигнеш на тази висока степен, трябва да представиш комплексното число в тригонометричен вид.
[tex]z=r(cos\varphi +i sin\varphi)[/tex]
тогава по Моавър
[tex]z^{24}=r^{24}(cos 24\varphi +i sin 24\varphi)[/tex]

Получаваме [tex]r= \sqrt {2-\sqrt{3}} \,\ \Leftrightarrow r^2=\left ( 1-\frac{\sqrt{3}}{2} \right )^2+\left ( \frac{1}{2} \right )^2[/tex]
Тогава
[tex]cos \varphi =\frac{1-\frac{\sqrt{3}}{2}}{\sqrt {2-\sqrt{3}}} =\,\ \frac{\sqrt{6}-\sqrt{2}}{4}[/tex]
случайно или не, най-малкият ъгъл с това свойство е [tex]\varphi =75^\circ[/tex]

[tex]z^{24}=(2-\sqrt{3})^{12}(cos 24.75^\circ +i sin 24.75^\circ)[/tex]
Вземайки предвид периода
[tex]z^{24}=(2-\sqrt{3})^{12}(cos 120^\circ +i sin 120^\circ)[/tex]
и
[tex]z^{24}=-\frac{1}{2}(2-\sqrt{3})^{12}(1-i\sqrt{3})[/tex]
Feci, quod potui, faciant meliora p0tentes.
Сторих каквото можах, по-добрите по-добро да направят.
Knowledge Greedy
Професор
 
Мнения: 2947
Регистриран на: 20 Фев 2010, 11:40
Рейтинг: 2829

Re: Комплексни числа задачка

Мнениеот hissatsu » 10 Ное 2015, 18:52

Благодаря много за бързия и точен отговор :)
hissatsu
Нов
 
Мнения: 2
Регистриран на: 10 Ное 2015, 09:32
Рейтинг: 0


Назад към Комплексни числа



Кой е на линия

Регистрирани потребители: Google [Bot]

Форум за математика(архив)