Регистрация не е нужна, освен при създаване на тема в "Задача на седмицата".

Разкоренуване

Разкоренуване

Мнениеот Гост » 24 Мар 2021, 21:34

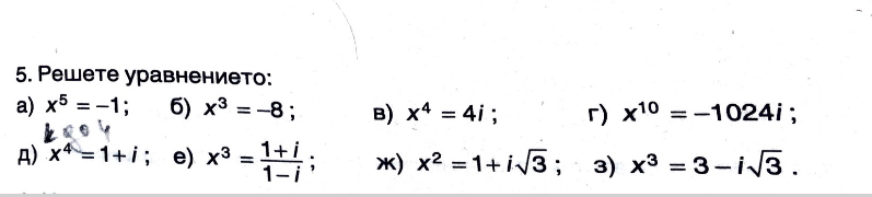
Може ли помощ със следната задача? А) успях да си я реша.
Прикачени файлове
59184855-3055-4D0B-82FE-759048D10FDF.jpeg
59184855-3055-4D0B-82FE-759048D10FDF.jpeg (70.03 KiB) Прегледано 911 пъти
Гост
 

Re: Разкоренуване

Мнениеот peyo » 26 Мар 2021, 11:02

Да видим б):

$x^3 = -8$

Веднага отгатваме, че -2 е корен

$x_1=-2$

Добавяме и изваждаме към полинома за да извадим (x+2) отпред:

$x^3 + 2x^2 - 2x^2 - 4x +4 x +8 = 0$

$ x^2(x + 2) - 2x(x +2) +4 (x +2) = 0$

$ (x + 2)(x^2 - 2x +4) = 0$

$x_{2,3} = \frac{2 \pm \sqrt{4 - 16}}{2} = 1 \pm i \sqrt3 $
peyo
Математик
 
Мнения: 1759
Регистриран на: 16 Мар 2019, 09:35
Местоположение: София
Рейтинг: 656

Re: Разкоренуване

Мнениеот peyo » 27 Мар 2021, 10:42

ж)

$x^2 = 1+i\sqrt{3}$

Ще търсим 2 числа a и b, такива, че :

$(a+ib)^2 = 1+i\sqrt{3}$

$a^2+i2ab -b^2 = 1+i\sqrt{3}$

[tex]\begin{array}{|l} a^2 -b^2= 1 \\ 2ab = \sqrt{3} \end{array}[/tex]

$b = \sqrt{3}/(2a)$

$ a^2 -\frac{3}{4a^2}= 1$

$ a^4 -a^2 -\frac{3}{4}= 0$

$a^2=u$

$ u^2 -u -\frac{3}{4}= 0$

$u_{1,2} = \frac{1 \pm \sqrt{1 + \frac{4*3}{4}}}{2}$

$u_{1} = 3/2$
$u_{2} = - 1/2$

$a_{1,2} = \pm \sqrt{3/2}$
$a_{3,4} = \pm i\sqrt{1/2}$

$2ab = \sqrt{3} $

$a_{1} = \sqrt{3/2}$, $b_1 = \sqrt{3}/(2*\sqrt{3/2})= \sqrt{2}/2$

$(a+ib)^2 = 1+i\sqrt{3}$

И така намерихме решение:

$x_{1,2}=\sqrt{\frac{3}{2}}+i\frac{\sqrt{2}}{2}$

Да направим проверка:

In [242]: expand((sqrt(3)/sqrt(2)+I*sqrt(2)/2)**2)
Out[242]: 1 + sqrt(3)*I

ОК!

$a_{2} = -\sqrt{3/2}$, $b_1 = -\sqrt{3}/(2*\sqrt{3/2})= -\sqrt{2}/2$

Да направим проверка:

In [243]: expand((sqrt(3)/sqrt(2)-I*sqrt(2)/2)**2)
Out[243]: 1 - sqrt(3)*I

NOT ОК! Тази двойка не е отговор.

Да видим останалите а-та:
$a_{3} = i\sqrt{1/2}$
$b_3 = \sqrt{3}/(2*i\sqrt{1/2})= -i\sqrt{6}/2$

Но

$ i\sqrt{1/2} + i * (-i\sqrt{6}/2) = \sqrt{\frac{3}{2}}+i\frac{\sqrt{2}}{2}$

Което е предишното решение, а $a_4$ също няма да е решение, с което задачата е решена
peyo
Математик
 
Мнения: 1759
Регистриран на: 16 Мар 2019, 09:35
Местоположение: София
Рейтинг: 656

Re: Разкоренуване

Мнениеот peyo » 27 Мар 2021, 18:28

г)

$x^{10}= -1024i$

Тук ще използваме тригонометричен фокус!

Първо превръщаме -1024i в тригонометричен вид:

$-1024i = 1024(cos(3\pi/2) + i sin(3\pi/2))$

След това от тук:

https://math.libretexts.org/Bookshelves/Precalculus/Book%3A_Trigonometry_(Sundstrom_and_Schlicker)/05%3A_Complex_Numbers_and_Polar_Coordinates/5.03%3A_DeMoivres_Theorem_and_Powers_of_Complex_Numbers

Let n be a positive integer. The nth roots of the complex number r[cos(θ)+isin(θ)] are given by

$\sqrt[n]{r}[\cos(\dfrac{\theta + 2\pi k}{n}) + i\sin(\dfrac{\theta + 2\pi k}{n})]$

for k=0,1,2,...,(n−1)


Ок, значи:
In [309]: sqrt10_r = 2; theta = 3*pi/2; n=10

In [310]: for k in range(n):
...: print( simplify( sqrt10_r*(cos( (theta + 2*pi*k) / n ) + I*sin( (theta + 2*pi*k) / n )) ))
...:
sqrt(2)*(-1 + sqrt(5))/4 + sqrt(sqrt(5) + 5)/2 + I*(sqrt(2)*(-sqrt(5) + 1) + 2*sqrt(sqrt(5) + 5))/4
sqrt(2)*(-sqrt(5) + 1)/4 + sqrt(sqrt(5) + 5)/2 + I*(-sqrt(2)*(-sqrt(5) + 1) + 2*sqrt(sqrt(5) + 5))/4
-sqrt(10)/4 - sqrt(2)/4 + sqrt(-sqrt(5) + 5)/2 + sqrt(2)*I/4 + sqrt(10)*I/4 + I*sqrt(-sqrt(5) + 5)/2
sqrt(2)*(-1 + I)
-sqrt(-sqrt(5) + 5)/2 - sqrt(10)/4 - sqrt(2)/4 - I*sqrt(-sqrt(5) + 5)/2 + sqrt(2)*I/4 + sqrt(10)*I/4
-sqrt(sqrt(5) + 5)/2 - sqrt(10)/4 + sqrt(2)/4 - I*sqrt(sqrt(5) + 5)/2 - sqrt(2)*I/4 + sqrt(10)*I/4
-sqrt(sqrt(5) + 5)/2 + sqrt(2)*(-1 + sqrt(5))/4 + I*(-2*sqrt(sqrt(5) + 5) + sqrt(2)*(-sqrt(5) + 1))/4
-sqrt(-sqrt(5) + 5)/2 + sqrt(2)/4 + sqrt(10)/4 - I*sqrt(-sqrt(5) + 5)/2 - sqrt(10)*I/4 - sqrt(2)*I/4
sqrt(2)*(1 - I)
sqrt(-sqrt(5) + 5)/2 + sqrt(2)*(1 + sqrt(5))/4 + I*(-sqrt(2)*(1 + sqrt(5)) + 2*sqrt(-sqrt(5) + 5))/4

Чудесно! Да направим проерка:

In [314]: expand((sqrt(2)*(-1 + I))**10)
Out[314]: -1024*I

In [315]: expand((sqrt(-sqrt(5) + 5)/2 + sqrt(2)*(1 + sqrt(5))/4 + I*(-sqrt(2)*(1 + sqrt(5)) + 2*sqrt(-sqrt(5) + 5))/4)**10)
Out[315]: -1024*I

Ако искаме да ги видим в по-числов вид:

In [312]: for k in range(n):
...: print( complex( sqrt10_r*(cos( (theta + 2*pi*k) / n ) + I*sin( (theta + 2*pi*k) / n )) ))
...:
(1.7820130483767358+0.9079809994790936j)
(0.9079809994790936+1.7820130483767358j)
(-0.31286893008046174+1.9753766811902755j)
(-1.4142135623730951+1.4142135623730951j)
(-1.9753766811902755+0.31286893008046174j)
(-1.7820130483767358-0.9079809994790936j)
(-0.9079809994790936-1.7820130483767358j)
(0.31286893008046174-1.9753766811902755j)
(1.4142135623730951-1.4142135623730951j)
(1.9753766811902755-0.31286893008046174j)
peyo
Математик
 
Мнения: 1759
Регистриран на: 16 Мар 2019, 09:35
Местоположение: София
Рейтинг: 656


Назад към Комплексни числа



Кой е на линия

Регистрирани потребители: Google [Bot]

Форум за математика(архив)