Регистрация не е нужна, освен при създаване на тема в "Задача на седмицата".

Какъв е алгебричния вид на числото

Какъв е алгебричния вид на числото

Мнениеот Гост » 17 Ное 2022, 16:31

=[tex]\frac{(-7-i \sqrt{3})^{141} }{(-44+16i \sqrt{3})^{70} }[/tex]

тръгнах така
[tex]\frac{(23+7 \sqrt{3}i)^{70 }(-7-i \sqrt{3}) }{(22-8 \sqrt{3}i)^{70} }[/tex]


от там тригонометрична форма за [tex]\frac{(23+7 \sqrt{3}i)^{70 }}{(22-8 \sqrt{3}i)^{70} }[/tex]

получих [tex]\frac{26(cos (\alpha- \beta) + sin (\alpha- \beta) }{26}[/tex]

cos ([tex]\alpha[/tex]) = [tex]\frac{23}{26}[/tex]

sin ([tex]\alpha[/tex]) =[tex]\frac{7 \sqrt{3} i}{26}[/tex]

cos ([tex]\beta[/tex]) = [tex]\frac{22}{26}[/tex]

sin([tex]\beta[/tex]) = [tex]\frac{-8 \sqrt{3} i}{26}[/tex]

идеята ми беше да съкратя [tex]\frac{26(cos (\alpha- \beta) + sin (\alpha- \beta) }{26}[/tex] ,но получих [tex]\frac{(678-338 \sqrt{3})^{70} }{676 ^{70 } }[/tex]


Благодаря предварително!
Гост
 

Re: Какъв е алгебричния вид на числото

Мнениеот KOPMOPAH » 17 Ное 2022, 17:59

Гост написа:...
от там ВМЕСТО тригонометрична форма за [tex]\frac{(23+7 \sqrt{3}i)^{70 }}{(22-8 \sqrt{3}i)^{70} }[/tex]
...

продължи $$\frac{(23+7 \sqrt{3}i)^{70 }}{(22-8 \sqrt{3}i)^{70} }=\left(\frac{23+7 \sqrt{3}i}{22-8 \sqrt{3}i }\right)^{70}=(a+b\sqrt 3 i)^{70}$$
Съставя се една система линейни уравнения с две неизвестни $a$ и $b$, която има съвсем прилични корени и нататък чорапът се разплита... :D
Намерете [tex]\lim_{n \to \infty}sin(2\pi e n!)[/tex]

Не бъркай очевидното с вярното! Очевидно е, че Слънцето обикаля Земята, ама не е вярно...
Когато се чудиш как да постъпиш, постъпи както трябва!
Аватар
KOPMOPAH
Математик
 
Мнения: 2551
Регистриран на: 03 Окт 2011, 22:10
Рейтинг: 3157

Re: Какъв е алгебричния вид на числото

Мнениеот martina04 » 25 Ное 2023, 14:49

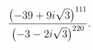
Здравейте, имам нужда от помощ с една задача, а тя е:
Да се намери алгебричният вид на числото:
Прикачени файлове
A8598A11-7A31-4EF7-9193-D621ADAA945D.jpeg
A8598A11-7A31-4EF7-9193-D621ADAA945D.jpeg (14.13 KiB) Прегледано 778 пъти
martina04
Нов
 
Мнения: 2
Регистриран на: 25 Ное 2023, 14:43
Рейтинг: 0

Re: Какъв е алгебричния вид на числото

Мнениеот ammornil » 25 Ное 2023, 15:46

Може би някакви рационалазации може да сведат задачата до по-малко сметки, но аз предлагам инженерно решение. Там където e написано [tex]j[/tex] това е имагинерната единица [tex]i=\sqrt{-1}[/tex].

[tex]C=\frac{A^{111}}{B^{220}}, \hspace{1em} A=-39+9\sqrt{3}j, \hspace{1em} B=-3-2\sqrt{3}j[/tex]

[tex]A=-39+9\sqrt{3}j \\ \hspace{6em} |A|=\sqrt{(-39)^{2}+(9\sqrt{3})^{2}}=\sqrt{1521+241}=42 \\ \hspace{6em} \tg{\varphi_{A}}=-\frac{9\sqrt{3}}{39}=-\frac{3\sqrt{3}}{13} \Rightarrow \varphi_{A} \approx -0,380251[rad] \\ \hspace{3em} \boxed{A=42e^{-0,380251j}}[/tex]
[tex]B=-3-2\sqrt{3}j \\ \hspace{6em} |B|=\sqrt{(-3)^{2}+(-2\sqrt{3})^{2}}=\sqrt{9+12}=\sqrt{21} \\ \hspace{6em} \tg{\varphi_{B}}=\frac{-2\sqrt{3}}{-3}=\frac{2\sqrt{3}}{3} \Rightarrow \varphi_{B} \approx +2,262966[rad] \\ \hspace{3em} \boxed{B=\sqrt{21}e^{+2,262966j}}[/tex]

[tex]C=\frac{A^{111}}{B^{220}}=\frac{(42e^{-0,380251j})^{111}}{\left((\sqrt{21}e^{+2,262966j})^{2}\right)^{110}}=\frac{2^{111}\cdot 21^{111}\cdot e^{-111\cdot{0,380251j}}}{ 21^{110}\cdot e^{110\cdot{4,525932j}}}=21\cdot 2^{111}e^{(-111\cdot{0,380251j}-110\cdot{4,525932j})}=21\cdot 2^{111}e^{-540,060381j} \\ \hspace{6em} -540,060381[rad] \approx 0,293555 -86\cdot 2\pi [rad] \hspace{1em} \begin{cases} \cos{(0,293555)} \approx 0,95722117 \\ \sin{(0,293555)} \approx 0,28935726 \end{cases} \\ \phantom{-} \\ C=21\cdot 2^{111}e^{0,293555j}=21\cdot 2^{111}\cos{(0,293555)}-21\cdot 2^{111}j\sin{(0,293555)}\approx 5,218685\cdot 10^{34}-1,577550\cdot 10^{34}j[/tex]

Скрит текст: покажи
Може би това може да се доведе до решение с по-точно приближение...
[tex]C=\frac{(-39+9\sqrt{3}j)^{110}}{\left(( -3-2\sqrt{3}j)^{2}\right)^{110}}\cdot (-39+9\sqrt{3}j)=\frac{(-39+9\sqrt{3}j)^{110}}{(9+12\sqrt{3}j-12)^{110}}\cdot (-39+9\sqrt{3}j) \\ C=\left(\frac{-39+9\sqrt{3}j}{-3+12\sqrt{3}j}\cdot \frac{-3-12\sqrt{3}j}{-3-12\sqrt{3}j} \right)^{110}\cdot (-39+9\sqrt{3}j)=\left(\frac{117+468\sqrt{3}j-27\sqrt{3}j+324}{9+36}\right)^{110}\cdot(-39+9\sqrt{3}j) \\ C=\left(\frac{441+441\sqrt{3}j}{45}\right)^{110}\cdot(-39+9\sqrt{3}j)=\left(\frac{441(1+\sqrt{3}j)}{45}\right)^{110}\cdot(-39+9\sqrt{3}j) \\ C=\left(\frac{49(1+\sqrt{3}j)}{5}\right)^{110}\cdot(-39+9\sqrt{3}j)[/tex]
[tex]\color{lightseagreen}\text{''Който никога не е правил грешка, никога не е опитвал нещо ново.''} \\
\hspace{21em}\text{(Алберт Айнщайн)}[/tex]
Аватар
ammornil
Математик
 
Мнения: 3719
Регистриран на: 25 Май 2010, 19:28
Местоположение: Великобритания
Рейтинг: 1751

Re: Какъв е алгебричния вид на числото

Мнениеот KOPMOPAH » 26 Ное 2023, 00:51

Да пробваме така:

$~~~~\frac{\left(-39+9i\sqrt3\right)^{111}}{\left(-3-2i\sqrt3\right)^{220}}=\frac{\left(-39+9i\sqrt3\right)^{110}}{\left(\left(-3-2i\sqrt3 \right)^2\right)^{110}}\cdot\left(-39+9i\sqrt3\right)=$

$~~~~=\frac{\left(-39+9i\sqrt3\right)^{110}}{\left(\underbrace{\left(-3-2i\sqrt3 \right)^2}_{=-3+12i\sqrt3}\right)^{110}}\cdot\left(-39+9i\sqrt3\right)=\frac{\cancel{(-3)^{110}}\left(-13+3i\sqrt3\right)^{110}}{\cancel{(-3)^{110}}\left(\left(1-4i\sqrt3 \right)^2\right)^{110}}\cdot\left(-39+9i\sqrt3\right)=\left(\frac{-13+3i\sqrt3}{1-4i\sqrt 3}\right)^{110}\cdot\left(-39+9i\sqrt3\right)=$

Извършваме деленето отделно:

$~~~~\displaystyle\frac{-13+3i\sqrt3}{1-4i\sqrt 3}=\frac{-13+3i\sqrt3}{1-4i\sqrt 3}\cdot\frac{1+4i\sqrt 3}{1+4i\sqrt 3}=\frac{-13+3i\sqrt3 -52i\sqrt3-36}{1+48}=\frac{(-\cancel{49})(1+i\sqrt 3)}{\cancel{49}}=-(1+i\sqrt 3)=-\frac 12\left(\cos \frac {\pi}3+\sin \frac {\pi}3\right)=-\frac 12 e^{\displaystyle\frac {i\pi}3}$

Остава да повдигнем $-\displaystyle\frac 12 e^{\displaystyle\frac {i\pi}3}$ на $110$-та степен, да превърнем резултата в алгебричен вид и за финал да го умножим по $\left(-39+9i\sqrt3\right)$
Намерете [tex]\lim_{n \to \infty}sin(2\pi e n!)[/tex]

Не бъркай очевидното с вярното! Очевидно е, че Слънцето обикаля Земята, ама не е вярно...
Когато се чудиш как да постъпиш, постъпи както трябва!
Аватар
KOPMOPAH
Математик
 
Мнения: 2551
Регистриран на: 03 Окт 2011, 22:10
Рейтинг: 3157


Назад към Комплексни числа



Кой е на линия

Регистрирани потребители: Google [Bot]

Форум за математика(архив)