Регистрация не е нужна, освен при създаване на тема в "Задача на седмицата".

Алгебричен вид

Алгебричен вид

Мнениеот martina04 » 25 Ное 2023, 15:22

Здравейте, имам нужда от помощ с тази задача:
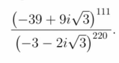
Да се намери алгебричният вид на числото:
Прикачени файлове
7016C108-C3E2-4F0F-82CC-16A17579CE34.jpeg
7016C108-C3E2-4F0F-82CC-16A17579CE34.jpeg (14.13 KiB) Прегледано 774 пъти
martina04
Нов
 
Мнения: 2
Регистриран на: 25 Ное 2023, 14:43
Рейтинг: 0

Re: Алгебричен вид

Мнениеот KOPMOPAH » 26 Ное 2023, 10:38

От съседната тема:

KOPMOPAH написа:Да пробваме така:

$~~~~\frac{\left(-39+9i\sqrt3\right)^{111}}{\left(-3-2i\sqrt3\right)^{220}}=\frac{\left(-39+9i\sqrt3\right)^{110}}{\left(\left(-3-2i\sqrt3 \right)^2\right)^{110}}\cdot\left(-39+9i\sqrt3\right)=$

$~~~~=\frac{\left(-39+9i\sqrt3\right)^{110}}{\left(\underbrace{\left(-3-2i\sqrt3 \right)^2}_{=-3+12i\sqrt3}\right)^{110}}\cdot\left(-39+9i\sqrt3\right)=\frac{\cancel{(-3)^{110}}\left(-13+3i\sqrt3\right)^{110}}{\cancel{(-3)^{110}}\left(\left(1-4i\sqrt3 \right)^2\right)^{110}}\cdot\left(-39+9i\sqrt3\right)=\left(\frac{-13+3i\sqrt3}{1-4i\sqrt 3}\right)^{110}\cdot\left(-39+9i\sqrt3\right)=$

Извършваме деленето отделно:

$~~~~\displaystyle\frac{-13+3i\sqrt3}{1-4i\sqrt 3}=\frac{-13+3i\sqrt3}{1-4i\sqrt 3}\cdot\frac{1+4i\sqrt 3}{1+4i\sqrt 3}=\frac{-13+3i\sqrt3 -52i\sqrt3-36}{1+48}=\frac{(-\cancel{49})(1+i\sqrt 3)}{\cancel{49}}=-(1+i\sqrt 3)=-\frac 12\left(\cos \frac {\pi}3+\sin \frac {\pi}3\right)=-\frac 12 e^{\displaystyle\frac {i\pi}3}=$

Остава да повдигнем $-\displaystyle\frac 12 e^{\displaystyle\frac {i\pi}3}$ на $110$-та степен, да превърнем резултата в алгебричен вид и за финал да го умножим по $\left(-39+9i\sqrt3\right)$


Да продължим:

$\left(-\displaystyle\frac 12 e^{\displaystyle\frac {i\pi}3}\right)^{110}=\left(\displaystyle-\frac 12\right)^{110}\cdot\left(\displaystyle\cos \frac {110\pi}3+i\sin\frac {110\pi}3\right)=\displaystyle\frac 1{2^{110}}\cdot\left(\displaystyle\cos \frac {2\pi}3+i\sin\frac {2\pi}3\right)=\displaystyle\frac 1{2^{110}}\left(-\frac12+i\frac{\sqrt 3}2\right)$

И накрая:

$\displaystyle\frac 1{2^{110}}\left(-\frac12+i\frac{\sqrt 3}2\right)\cdot\left(-39+9i\sqrt3\right)=\cdots$
Намерете [tex]\lim_{n \to \infty}sin(2\pi e n!)[/tex]

Не бъркай очевидното с вярното! Очевидно е, че Слънцето обикаля Земята, ама не е вярно...
Когато се чудиш как да постъпиш, постъпи както трябва!
Аватар
KOPMOPAH
Математик
 
Мнения: 2551
Регистриран на: 03 Окт 2011, 22:10
Рейтинг: 3157


Назад към Комплексни числа



Кой е на линия

Регистрирани потребители: Google [Bot]

Форум за математика(архив)