Регистрация не е нужна, освен при създаване на тема в "Задача на седмицата".

Задачи на Коши, общо решение

Задачи на Коши, общо решение

Мнениеот preslava252 » 07 Апр 2020, 13:41

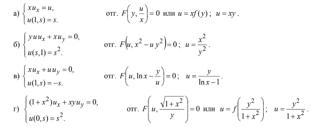
Здравейте! Има ли някой, който може да ми помогне с решението на тези задачи (има отговори, просто не знам как се решават) :)
Прикачени файлове
ЧДУ1.png
ЧДУ1.png (73.59 KiB) Прегледано 1479 пъти
preslava252
Нов
 
Мнения: 1
Регистриран на: 07 Апр 2020, 13:28
Рейтинг: 0

Назад към Диференциални уравнения



Кой е на линия

Регистрирани потребители: Google [Bot]

Форум за математика(архив)