Регистрация не е нужна, освен при създаване на тема в "Задача на седмицата".

Химични уравнения

Химични уравнения

Мнениеот Гост » 22 Май 2022, 11:42

20220518_153505.jpg
20220518_153505.jpg (557.3 KiB) Прегледано 1122 пъти

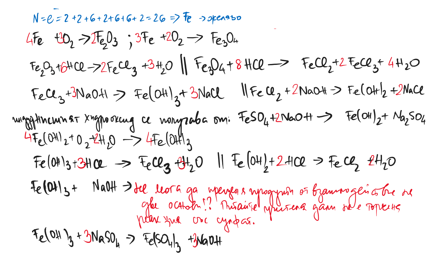
Здравейте,може ли да ми помогнете с тази задача. Разбрах,че химичният елемент е Fe,но останалата част от задачата ме затруднява.
Гост
 

Re: Химични уравнения

Мнениеот ammornil » 22 Май 2022, 21:28

Screenshot 2022-05-22 203119.png
Screenshot 2022-05-22 203119.png (140.09 KiB) Прегледано 1111 пъти
[tex]\color{lightseagreen}\text{''Който никога не е правил грешка, никога не е опитвал нещо ново.''} \\
\hspace{21em}\text{(Алберт Айнщайн)}[/tex]
Аватар
ammornil
Математик
 
Мнения: 3685
Регистриран на: 25 Май 2010, 19:28
Местоположение: Великобритания
Рейтинг: 1722

Re: Химични уравнения

Мнениеот Гост » 23 Май 2022, 05:13

Благодаря ти много, ще попитам
Гост
 

Re: Химични уравнения

Мнениеот mail_dinko » 24 Май 2022, 11:30

Оксидите на желязото не се получават при химично съединяване с кислород, а при взаимодействие на ПВ Fe с гореща вода, ако температурата е под 570 градуса - се получава смесеният оксид трижелезен тетраоксид. Когато t>570 градуса, се получава FeO.
В задачата се иска взаимод. на Fe+HCl при което се получуава желен дихлорид
Той реагира с основа до дихидроксид. После реакцията с вода и кислород е вярно написана.
ХЕ Fe e елемент с двойствен характер, образува ПВ метал и амфотерен хидроксид - той участват в процеси на комплексообразуване
[tex]Fe(OH)_3 + HCl + 3H_2O \Rightarrow [Fe (H_2O)_6]Cl_3[/tex]
[tex]Fe(OH)_3+3NaOH \Rightarrow Na_3 [Fe(OH)_6][/tex]
Пишете на КИРИЛИЦА! Не е толкова трудно! По-удобно е за всички! Дайте палец нагоре, ако сте доволни от отг.
mail_dinko
Математик
 
Мнения: 1081
Регистриран на: 01 Апр 2010, 17:08
Местоположение: София
Рейтинг: 536

Re: Химични уравнения

Мнениеот ammornil » 24 Май 2022, 19:15

В задачата пише от оксид към хлорид, а не директно от желязо.

Желязото може да "гори" (взаимодейства директно с кислород). Пише "горене на желязна вълна в кислородна среда".

Screenshot 2022-05-24 181055.png
Screenshot 2022-05-24 181055.png (14.78 KiB) Прегледано 1089 пъти


Видео на горене на желязо. и още едно

Аз понеже усках да помогна, но нямам всички необходими знания, преписах уравненията от учебника по химия за 9 клас. Това с [tex]NaOH[/tex] го има там, но не го видях :roll:

Screenshot 2022-05-24 181801.png
Screenshot 2022-05-24 181801.png (11.23 KiB) Прегледано 1089 пъти
[tex]\color{lightseagreen}\text{''Който никога не е правил грешка, никога не е опитвал нещо ново.''} \\
\hspace{21em}\text{(Алберт Айнщайн)}[/tex]
Аватар
ammornil
Математик
 
Мнения: 3685
Регистриран на: 25 Май 2010, 19:28
Местоположение: Великобритания
Рейтинг: 1722


Назад към Химия



Кой е на линия

Регистрирани потребители: Google Adsense [Bot], Google [Bot]

Форум за математика(архив)
cron