Регистрация не е нужна, освен при създаване на тема в "Задача на седмицата".

Помощ --- уравнение с 2 неизвестни

Помощ --- уравнение с 2 неизвестни

Мнениеот Гост » 29 Ное 2012, 19:35

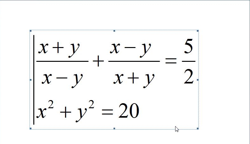
Ето задачата :)
Прикачени файлове
ScreenShot001.jpg
ScreenShot001.jpg (95.19 KiB) Прегледано 697 пъти
Гост
 

Re: Помощ --- уравнение с 2 неизвестни

Мнениеот Добромир Глухаров » 29 Ное 2012, 21:25

Привеждаме под общ знаменател:

[tex]\frac{(x+y)^2+(x-y)^2}{(x-y)(x+y)}=\frac{5}{2}\\
\frac{x^2+2xy+y^2+x^2-2xy+y^2}{(x-y)(x+y)}=\frac{5}{2}\\
\frac{2x^2+2y^2}{(x-y)(x+y)}=\frac{5}{2}\\
2(x^2+y^2).2=5(x-y)(x+y)\\
2.20.2=5(x-y)(x+y)\\
(x-y)(x+y)=16\\
(x-y)^2(x+y)^2=256\\
(x^2+y^2-2xy)(x^2+y^2+2xy)=256\\
(20-2xy)(20+2xy)=256\\
400-4x^2y^2=256\\
x^2y^2=36\\

\begin{tabular}{|l}xy=\pm 6\\(x+y)^2-2xy=20\end{tabular}\ \Leftrightarrow \
\begin{tabular}{|l}xy=6\\x+y=\pm 4\sqrt{2}\end{tabular} \cup \begin{tabular}{|l}xy=-6\\x+y=\pm 2\sqrt{2}\end{tabular}\\
t^2\mp 4\sqrt{2}t+6=0 \cup t^2\mp 2\sqrt{2}t-6=0\\
D=8-6=2\ \ \ D=2+6=8\\
t=\pm 2\sqrt{2}\pm \sqrt{2}\ \ \ t=\pm \sqrt{2}\pm 2\sqrt{2}\\
(x;y)\in \{(3\sqrt{2};\sqrt{2}),(\sqrt{2};3\sqrt{2}),(-3\sqrt{2};-\sqrt{2}),(-\sqrt{2};-3\sqrt{2}),(3\sqrt{2};-\sqrt{2}),(-\sqrt{2};3\sqrt{2}),(-3\sqrt{2};\sqrt{2}),(\sqrt{2};-3\sqrt{2})\}[/tex]
Аватар
Добромир Глухаров
Математик
 
Мнения: 2080
Регистриран на: 11 Яну 2010, 13:23
Рейтинг: 2178


Назад към Системи



Кой е на линия

Регистрирани потребители: Google [Bot]

Форум за математика(архив)