Регистрация не е нужна, освен при създаване на тема в "Задача на седмицата".

Задача

Задача

Мнениеот Гост » 09 Яну 2022, 21:19

.
Прикачени файлове
IMG_20220109_211433.jpg
IMG_20220109_211433.jpg (374.1 KiB) Прегледано 1275 пъти
Гост
 

Re: Задача

Мнениеот Jack » 31 Яну 2022, 08:21

Гост написа:.


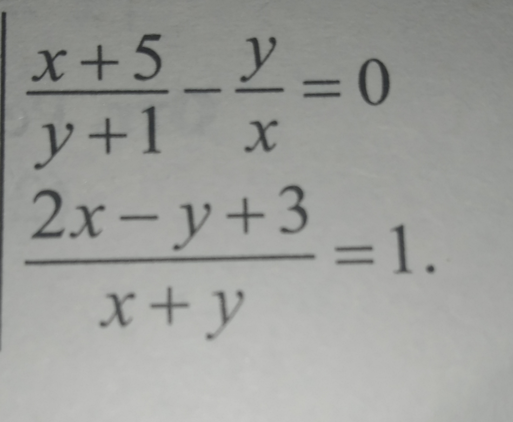
$\frac{x + 5}{y + 1} = \frac{y}{x}$
$y \ne -1$

$\frac{x(x + 5)}{x(y + 1)} = \frac{y(y + 1)}{x(y + 1)}$ [tex]\Rightarrow[/tex]

$x(x + 5) = y(y + 1)$

$2x - y + 3 = x + y$
$x + 3 = 2y$ [tex]\Leftrightarrow[/tex] $x = 2y - 3$

$x(x + 5) = y(y + 1)$
$x(x + 5) = (2y - 3)(2y + 2) = y(y + 1)$
$4y^{2} - 2y - 6 = y^{2} + y$
$3y^{2} - 6 = 3y$
$3y^{2} - 3y - 6 = 0$

Решаваме чрез стандартните формули за квадратно уравнение:

$y = \frac{3 \pm \sqrt{(-3)^{2} - 4 \times 3 \times (-6)}}{2 \times 3} = \frac{3 \pm \sqrt{9 + 72}}{6} = \frac{3 \pm 9}{6}$

$y_{1} = 2$
(Чрез формулата се получава $y = -1$, но преди малко сме определили, че не е възможно $y = -1$.

$x(x + 5) = y(y + 1) = 2(2 + 1) = 6$

От тук $x = 1$. [tex]\Rightarrow[/tex]

Отговор:
$x = 1$
$y = 2$
Седмокласник
Аватар
Jack
Фен на форума
 
Мнения: 107
Регистриран на: 03 Яну 2022, 19:54
Местоположение: София
Рейтинг: 74


Назад към Системи



Кой е на линия

Регистрирани потребители: Google [Bot]

Форум за математика(архив)