Регистрация не е нужна, освен при създаване на тема в "Задача на седмицата".

Система

Система

Мнениеот Гост » 20 Яну 2022, 14:05

.
Прикачени файлове
IMG_20220120_135547.jpg
IMG_20220120_135547.jpg (13.99 KiB) Прегледано 1273 пъти
Гост
 

Re: Система

Мнениеот mail_dinko » 20 Яну 2022, 15:56

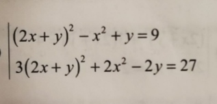
[tex]\begin{array}{|l} (2x+y)^2-x^2 + y = 9 \\ 3(2x+y)^2 + 2x^2 - 2y = 27 \end{array}[/tex]
Полагаме [tex](2x+y )^2 = v; x^2-y = t[/tex]
[tex]\begin{array}{|l} v- t = 9 |.2 \\ 3v+2t = 27 \end{array}[/tex]
[tex]5v = 45 \Rightarrow v = 9; t=0[/tex]
[tex]\begin{array}{|l} (2x+y)^2=9 \\ x^2 - y = 0 \end{array} \Leftrightarrow \begin{array}{|l} 4x^2 + 4xy + y^2=9 \\ x^2 =y \end{array}[/tex]
[tex]4x^2 + 4x^3 + x^4 -9=0[/tex]
След използване на схемата на Хорнер достигаме до [tex](x-1)(x+3)(x^2+2x+3)=0[/tex]
[tex]x_1 = 1 ; x_2 = -3[/tex]
[tex]y_ 1 = 1; y_2 = 9[/tex]
(1;1) и (-3;9)
Пишете на КИРИЛИЦА! Не е толкова трудно! По-удобно е за всички! Дайте палец нагоре, ако сте доволни от отг.
mail_dinko
Математик
 
Мнения: 1081
Регистриран на: 01 Апр 2010, 17:08
Местоположение: София
Рейтинг: 536

Re: Система

Мнениеот pal702004 » 21 Яну 2022, 08:43

Умножи първото уравнение на 2 и ги събери
pal702004
Математик
 
Мнения: 1484
Регистриран на: 23 Сеп 2013, 19:47
Рейтинг: 1399


Назад към Системи



Кой е на линия

Регистрирани потребители: Google [Bot]

Форум за математика(архив)