Регистрация не е нужна, освен при създаване на тема в "Задача на седмицата".

4 Системи

4 Системи

Мнениеот Гост » 20 Ное 2022, 15:05

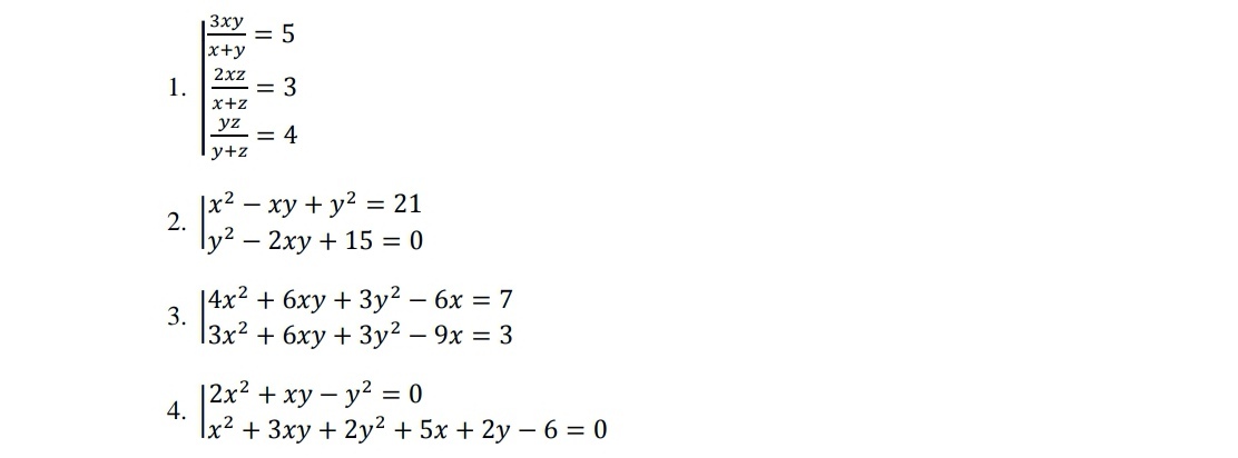
1.jpg
1.jpg (41.5 KiB) Прегледано 1370 пъти
Гост
 

Re: 4 Системи

Мнениеот pal702004 » 20 Ное 2022, 17:59

1) Обърни всички дроби - получава се лека система линейни уравнения относително $1/x,1/y,1/z$

3) Като извадиш от първото уравнение второто се получава уравнение само от $x$ с цели решения.

4) Първото уравнение е еднородно, тоест, става квадратно относително $y/x$

2) Умножи по нужните коефициенти, за да изравниш свободните членове, които да са вдясно и отново се свежда до еднородно, както в 4).
pal702004
Математик
 
Мнения: 1484
Регистриран на: 23 Сеп 2013, 19:47
Рейтинг: 1399

Re: 4 Системи

Мнениеот KOPMOPAH » 20 Ное 2022, 18:50

Поздравления за смисления и стегнат отговор, без детайлите, с които питащият трябва сам да се справи!
Намерете [tex]\lim_{n \to \infty}sin(2\pi e n!)[/tex]

Не бъркай очевидното с вярното! Очевидно е, че Слънцето обикаля Земята, ама не е вярно...
Когато се чудиш как да постъпиш, постъпи както трябва!
Аватар
KOPMOPAH
Математик
 
Мнения: 2551
Регистриран на: 03 Окт 2011, 22:10
Рейтинг: 3157

Re: 4 Системи

Мнениеот Гост » 20 Ное 2022, 19:27

tuka e interesno da se dokazhe za koi konichni sechenija stava vapros
Гост
 

Re: 4 Системи

Мнениеот S.B. » 21 Ное 2022, 09:46

Поздравления за pal702004!
Аз обаче имам друго мнение по отношение на задача 2:

[tex]\begin{array}{|l} x^{2 } - xy + y^{2 } = 21\\ y^{2 } - 2xy + 15 = 0 \end{array} \Leftrightarrow \begin{array}{|l} x^{2 } - xy + y^{2 } = 21 \\ y^{2 } - 2xy = -15 \end{array}[/tex]

Очевидно е,че двойката $x = 0 , y = 0$ не е решение на системата.Нека [tex]y \ne 0[/tex]:

[tex]\begin{array}{|l} y^{2 }( \displaystyle\frac{ x^{2 } }{ y^{2 } } - \displaystyle\frac{x}{y}+ 1) = 21 \\ y^{2 }( 1 - 2 \displaystyle\frac{x}{y} ) = - 15\end{array}[/tex]
Полагам [tex]\frac{x}{y} = t[/tex] и деля почленно двете уравнения:

[tex]\frac{ y^{2 }( t^{2 } - t + 1) }{ y^{2 }(1 - 2t) } = \frac{21}{-15} \Leftrightarrow \frac{ t^{2 } - t + 1 }{1 - 2t} = - \frac{7}{5} \Leftrightarrow 5 t^{2 } - 19t + 12 = 0[/tex]
Корените са [tex]t_{1,2 } = 3 , \displaystyle\frac{4}{5} \Rightarrow \displaystyle\frac{x}{y} = \begin{cases}3 \\ \displaystyle\frac{4}{5} \end{cases}[/tex]
Тогава решението на първоначалната система се свежда до решението на следните две системи:

[tex]\begin{array}{|l} \displaystyle\frac{x}{y}= 3 \\ y^{2 } - 2xy + 15 = 0 \end{array}[/tex] [tex]\cup[/tex] [tex]\begin{array}{|l} \displaystyle \frac{x}{y} = \displaystyle \frac{4}{5} \\ y^{2 } - 2xy + 15 = 0 \end{array}[/tex]

От този момент,мисля,че уважаемият ни Гост би могъл да се справи самостоятелно!Успех! :D
Никой любовен роман не е разплакал толкова много хора,колкото учебникът по математика.
Ако нещо мърда - това е биология,ако мирише -това е химия,ако има сила - това е физика,а ако нищо не разбираш - това е математика
Аватар
S.B.
Математик
 
Мнения: 4346
Регистриран на: 22 Май 2017, 15:58
Рейтинг: 5269


Назад към Системи



Кой е на линия

Регистрирани потребители: Google [Bot]

Форум за математика(архив)