Регистрация не е нужна, освен при създаване на тема в "Задача на седмицата".

Система със степенен показател х и у

Система със степенен показател х и у

Мнениеот Гост » 04 Дек 2022, 12:01

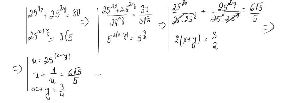
[tex]\begin{array}{|l} 25^{2x } + 25^{2y }= 30 \\ 25^{x+y }=5 \sqrt{5} \end{array}[/tex]
Гост
 

Re: Система със степенен показател х и у

Мнениеот ammornil » 04 Дек 2022, 13:36

Screenshot 2022-12-04 113218.png
Screenshot 2022-12-04 113218.png (25.72 KiB) Прегледано 1282 пъти


Скрит текст: покажи
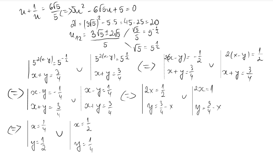
Screenshot 2022-12-04 113409.png
Screenshot 2022-12-04 113409.png (46.14 KiB) Прегледано 1282 пъти
[tex]\color{lightseagreen}\text{''Който никога не е правил грешка, никога не е опитвал нещо ново.''} \\
\hspace{21em}\text{(Алберт Айнщайн)}[/tex]
Аватар
ammornil
Математик
 
Мнения: 3719
Регистриран на: 25 Май 2010, 19:28
Местоположение: Великобритания
Рейтинг: 1751

Re: Система със степенен показател х и у

Мнениеот mail_dinko » 04 Дек 2022, 14:15

[tex]\begin{array}{|l} 25^{2x } + 25^{2y }= 30 \\ 25^{x+y }=5 \sqrt{5} \end{array} \Leftrightarrow \begin{array}{|l} 5^{4x } + 5^{4y }= 30 \\ 5^{2(x+y) }=5^{\frac32} \end{array} \Leftrightarrow 2(x+y) = \frac 32 \Rightarrow x+y = \frac 34\Rightarrow{y = \frac{3}{4} - x}[/tex]

[tex]5^{4x}+5^{4 (\frac34 -x)}=30 \Leftrightarrow 5 ^{4x} + 5 ^{3 - 4x}=30 \Leftrightarrow 5 ^{4x} + \frac {5 ^3}{5 ^{4x}}=30[/tex]
Полагаме [tex]t=5^{4x}>0[/tex]
[tex]t + \frac {125}{t}=30|.t>0 \Leftrightarrow t^2 -30t+125 =0[/tex]
[tex]D= 15^2 - 125 = 10^2[/tex]
[tex]t_{1,2} = 15 \pm 10[/tex]
[tex]t_1 = 25 \in DM \Rightarrow 5 ^{4x}=25 \Rightarrow 4x=2 \Rightarrow x_1 = \frac 12[/tex]
[tex]t_2 = 5 \in DM \Rightarrow 5 ^{4x}=5 \Rightarrow 4x=1 \Rightarrow x_2 = \frac 14[/tex]
Пишете на КИРИЛИЦА! Не е толкова трудно! По-удобно е за всички! Дайте палец нагоре, ако сте доволни от отг.
mail_dinko
Математик
 
Мнения: 1081
Регистриран на: 01 Апр 2010, 17:08
Местоположение: София
Рейтинг: 537


Назад към Системи



Кой е на линия

Регистрирани потребители: Google [Bot]

Форум за математика(архив)
cron