Регистрация не е нужна, освен при създаване на тема в "Задача на седмицата".

Може ли малко помощ?

Може ли малко помощ?

Мнениеот Гост » 27 Дек 2023, 21:05

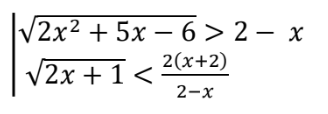
Системи.png
Системи.png (9.14 KiB) Прегледано 1170 пъти

Здравейте. Първото неравенство го реших обаче второто достигам до уравнение, което трябва да се реши от трета степен и не мога да го разложа. Може ли малко помощ за него?
Гост
 

Re: Може ли малко помощ?

Мнениеот ammornil » 28 Дек 2023, 16:47

Второто неравенство е решавано ТУК
[tex]\color{lightseagreen}\text{''Който никога не е правил грешка, никога не е опитвал нещо ново.''} \\
\hspace{21em}\text{(Алберт Айнщайн)}[/tex]
Аватар
ammornil
Математик
 
Мнения: 3685
Регистриран на: 25 Май 2010, 19:28
Местоположение: Великобритания
Рейтинг: 1722


Назад към Системи



Кой е на линия

Регистрирани потребители: Google [Bot]

Форум за математика(архив)