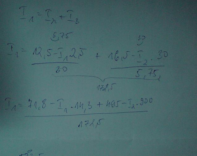
просто изрази неизвестните
от първото изрази [tex]I_{1}[/tex] от второто - [tex]I_{3}[/tex] и замести в третото

така ще ти се получи само едно неизвестно [tex]I_{2}[/tex] намираш го и от там нататък е лесно

ПС: sry за закъснелия коментар вече бях постнал