Регистрация не е нужна, освен при създаване на тема в "Задача на седмицата".

На вниманието на кандидатстудентите

На вниманието на кандидатстудентите

Мнениеот S.B. » 04 Авг 2021, 15:18

Да се реши уравнението:
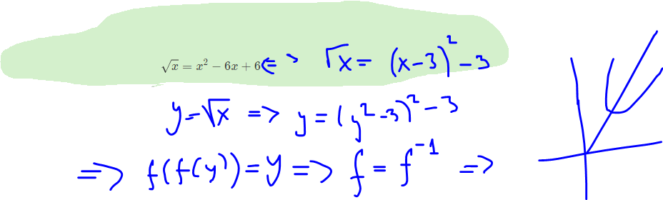
$$\sqrt{x} = x^{2} - 6x + 6 $$
Никой любовен роман не е разплакал толкова много хора,колкото учебникът по математика.
Ако нещо мърда - това е биология,ако мирише -това е химия,ако има сила - това е физика,а ако нищо не разбираш - това е математика
Аватар
S.B.
Математик
 
Мнения: 4327
Регистриран на: 22 Май 2017, 15:58
Рейтинг: 5227

Re: На вниманието на кандидатстудентите

Мнениеот Davids » 04 Авг 2021, 22:05

Правим една бърза справка за ДС:
[tex]\begin{array}{|l} x \ge 0 \\ x \notin (3-\sqrt{3}, 3+\sqrt{3}) \end{array}[/tex]

Вдигаме двете страни на втора, прехвърляме от едната страна и получаваме:
$x^4 - 12x^3 + 48x^2 - 73x + 36 = 0$.

По Хорнер намираме двата корена $x_1 = 1$ и $x_2 = 4$, като паралелно получаваме и останалите коефициенти, което редуцира уравнението до:
$(x-1)(x-4)(x^2-7x+9) = 0$

Решаваме квадратното уравнение от последния множител и получаваме и останалите два кандидата за корени: $x_{3,4} = \frac{7\pm \sqrt{13}}{2}$.

В ДС попадат единствено $x_1 = 1$ и $x_4 = \frac{7+\sqrt{13}}{2}$, които са и окончателните решения на уравнението.

Решението не е нито елегантно, нито много "хитро", но пък е последователно и ефикасно. :lol: Единствената най-съмнителна част е "налучкването" на корените по правилото на Хорнер, но пък $x = 1$ е от "очевидните" налучквания, което си проличава още от началния вид на уравнението. Та... ако има нещо по-елегантно, може авторът да сподели. :D
*Нещо непосредствено и интересно, привличащо вниманието на читателя и оставящо го с приятна топла усмивка на лицето.*
----
Вече не го правя само за точката. :lol:
Davids
Математик
 
Мнения: 2383
Регистриран на: 16 Ное 2015, 11:47
Рейтинг: 2535

Re: На вниманието на кандидатстудентите

Мнениеот S.B. » 05 Авг 2021, 07:31

Да,това са отговорите.Моето решение е малко по- различно.
Два пъти правя опит да въведа моето решение,но два пъти губя връзка с интернет.По- късно ще се опитам отново.Хубав ден! :D
Никой любовен роман не е разплакал толкова много хора,колкото учебникът по математика.
Ако нещо мърда - това е биология,ако мирише -това е химия,ако има сила - това е физика,а ако нищо не разбираш - това е математика
Аватар
S.B.
Математик
 
Мнения: 4327
Регистриран на: 22 Май 2017, 15:58
Рейтинг: 5227

Re: На вниманието на кандидатстудентите

Мнениеот Гост » 05 Авг 2021, 10:04

involution.PNG
involution.PNG (19.48 KiB) Прегледано 1913 пъти

опа, инволюцийка...да, х=1 е решение :lol:
Гост
 

Re: На вниманието на кандидатстудентите

Мнениеот 123a » 05 Авг 2021, 10:10

[tex]\sqrt{x}-6=x(x-6)[/tex]

[tex]\sqrt{x}=y>0;x \ge 0[/tex]


$y^4-6y^2-y+6=0$

$y(y^3-1)-6(y-1)(y+1)=0$


$(y-1)(y^3+y^2-5y-6)=0$

$(y-1)(y+2)(y^2+y-3)=0$

Нататък е ясно.
123a
Напреднал
 
Мнения: 251
Регистриран на: 11 Юни 2016, 11:49
Рейтинг: 297

Re: На вниманието на кандидатстудентите

Мнениеот Гост » 05 Авг 2021, 11:44

а някой може ли да докаже, че това уравнение е ирационално?
Гост
 


Re: На вниманието на кандидатстудентите

Мнениеот S.B. » 05 Авг 2021, 14:42

Гост написа:а някой може ли да докаже, че това уравнение е ирационално?


$$ \sqrt{x} = x^{2} - 6x + 6 $$


ОПРЕДЕЛЕНИЕ: Уравнение,в което неизвестното се среща под знака на радикала, се нарича ИРАЦИОНАЛНО

Удоволствието от доказателството оставям за теб!
Никой любовен роман не е разплакал толкова много хора,колкото учебникът по математика.
Ако нещо мърда - това е биология,ако мирише -това е химия,ако има сила - това е физика,а ако нищо не разбираш - това е математика
Аватар
S.B.
Математик
 
Мнения: 4327
Регистриран на: 22 Май 2017, 15:58
Рейтинг: 5227

Re: На вниманието на кандидатстудентите

Мнениеот S.B. » 05 Авг 2021, 14:46

Моето решение съвпада с решението на колегата $123a$,за това няма да го въвеждам.Благодаря на колегите за вниманието! :D
Никой любовен роман не е разплакал толкова много хора,колкото учебникът по математика.
Ако нещо мърда - това е биология,ако мирише -това е химия,ако има сила - това е физика,а ако нищо не разбираш - това е математика
Аватар
S.B.
Математик
 
Мнения: 4327
Регистриран на: 22 Май 2017, 15:58
Рейтинг: 5227

Re: На вниманието на кандидатстудентите

Мнениеот Гост » 06 Авг 2021, 00:28

S.B. написа:
Гост написа:а някой може ли да докаже, че това уравнение е ирационално?


$$ \sqrt{x} = x^{2} - 6x + 6 $$


ОПРЕДЕЛЕНИЕ: Уравнение,в което неизвестното се среща под знака на радикала, се нарича ИРАЦИОНАЛНО

Удоволствието от доказателството оставям за теб!


не съм питал за определения, а доказателство...
Гост
 

Re: На вниманието на кандидатстудентите

Мнениеот Гост » 06 Авг 2021, 09:06

Гост написа:
не съм питал за определения, а доказателство...


Имаш основата - в случая определението , а сега за да блеснеш направи доказателството!Какво ти пречи?!
Гост
 

Re: На вниманието на кандидатстудентите

Мнениеот Гост » 06 Авг 2021, 11:58

явно и ти, и S.B не разбирате кво питам-добре, ше го опростя-докажете, че функцията [tex]y= \sqrt{x}[/tex] е ирационална...
Гост
 

Re: На вниманието на кандидатстудентите

Мнениеот Гост » 06 Авг 2021, 14:56

Гост написа:явно и ти, и S.B не разбирате кво питам-добре, ше го опростя-докажете, че функцията [tex]y= \sqrt{x}[/tex] е ирационална...

И кво ти пречи да го формулираш като отделна задача?Решаваш кво те интересува - дали уравнението е ирационално или така дефинираната функция ,влизаш във форума,намираш подходящо място и го публикуваш!Толкова ли е сложно :roll:
Гост
 

Re: На вниманието на кандидатстудентите

Мнениеот Меди » 07 Авг 2021, 15:21

Гост написа:
Гост написа:
не съм питал за определения, а доказателство...


Имаш основата - в случая определението , а сега за да блеснеш направи доказателството!Какво ти пречи?!

Аз наистина не разбирам за какво доказателство става въпрос. Неизвестното участва и в подкоренната величина. Точка. Това е напълно достатъчно, за да твърдим, че работим с ирационално уравнение.
"Студент – това е все още нищо, от което може да излезе всичко." – Шандор Петьофи
Меди
Фен на форума
 
Мнения: 175
Регистриран на: 22 Яну 2020, 20:18
Рейтинг: 244

Re: На вниманието на кандидатстудентите

Мнениеот grav » 07 Авг 2021, 18:04

Гост написа:явно и ти, и S.B не разбирате кво питам-добре, ше го опростя-докажете, че функцията [tex]y= \sqrt{x}[/tex] е ирационална...

Това е доволно лесно за да се иска доказателство. Ако [tex]\sqrt{x}[/tex] е рационална функция , частно на два взаимнопрости полинома [tex]\frac{p(x)}{q(x)}[/tex], след повдигане на квадрат и умножаване получаваш [tex]xq(x)^2=p(x)^2[/tex]. Лавата страна има 0 за корен, следователно и дясната, следователно [tex]p(x)=xr(x)[/tex], от където [tex]q(x)^2=xr(x)^2[/tex], което пък влече [tex]q(x)=xs(x)[/tex]. Противоречие с това, че са взаимно прости.
grav
Математиката ми е страст
 
Мнения: 878
Регистриран на: 14 Юли 2011, 23:23
Рейтинг: 369

Re: На вниманието на кандидатстудентите

Мнениеот KOPMOPAH » 07 Авг 2021, 18:28

Гост написа:явно и ти, и S.B не разбирате кво питам-добре, ше го опростя-докажете, че функцията [tex]y= \sqrt{x}[/tex] е ирационална...

И какъв е тоя теоретик-умник, комуто е нужно да се доказват подобни неща, не влизащи в първоначалното условие?
Сигурно ако се публикува квадратно уравнение би се заинтересувал колко е лицето на квадрата...
Намерете [tex]\lim_{n \to \infty}sin(2\pi e n!)[/tex]

Не бъркай очевидното с вярното! Очевидно е, че Слънцето обикаля Земята, ама не е вярно...
Когато се чудиш как да постъпиш, постъпи както трябва!
Аватар
KOPMOPAH
Математик
 
Мнения: 2549
Регистриран на: 03 Окт 2011, 22:10
Рейтинг: 3152

Re: На вниманието на кандидатстудентите

Мнениеот Гост » 08 Авг 2021, 12:02

KOPMOPAH написа:
Гост написа:явно и ти, и S.B не разбирате кво питам-добре, ше го опростя-докажете, че функцията [tex]y= \sqrt{x}[/tex] е ирационална...

И какъв е тоя теоретик-умник, комуто е нужно да се доказват подобни неща, не влизащи в първоначалното условие?
Сигурно ако се публикува квадратно уравнение би се заинтересувал колко е лицето на квадрата...


ма чакай, уе, на теб ако не ти е интересно, никой не те кара да са буташ...
Гост
 

Re: На вниманието на кандидатстудентите

Мнениеот Гост » 09 Авг 2021, 15:41

Гост написа:... ма чакай, уе, на теб ако не ти е интересно, никой не те кара да са буташ...

КОРМОРАНЕ, не спори с простак, защото ще те принизи до своето ниво и там ще те победи с опит.
Гост
 

Re: На вниманието на кандидатстудентите

Мнениеот S.B. » 09 Авг 2021, 18:04

Гост написа:
Гост написа:... ма чакай, уе, на теб ако не ти е интересно, никой не те кара да са буташ...

КОРМОРАНЕ, не спори с простак, защото ще те принизи до своето ниво и там ще те победи с опит.

Абсолютно точно!Същият този индивид по време на спор ми изпрати един гнусен видеоклип,който на следващия ден администратора изтри.
Той за това се подвизава във форума скрит зад маската на анонимността.Не за да спори на тема математика.
Никой любовен роман не е разплакал толкова много хора,колкото учебникът по математика.
Ако нещо мърда - това е биология,ако мирише -това е химия,ако има сила - това е физика,а ако нищо не разбираш - това е математика
Аватар
S.B.
Математик
 
Мнения: 4327
Регистриран на: 22 Май 2017, 15:58
Рейтинг: 5227

Re: На вниманието на кандидатстудентите

Мнениеот Гост » 10 Авг 2021, 14:29

Гост написа:
Гост написа:... ма чакай, уе, на теб ако не ти е интересно, никой не те кара да са буташ...

КОРМОРАНЕ, не спори с простак, защото ще те принизи до своето ниво и там ще те победи с опит.


айде и ти, и корморан, ако сте различни, обратно в обора...и измисли си нещо свое, ако искаш да ми са праиш на оригинален...
Гост
 

Re: На вниманието на кандидатстудентите

Мнениеот Гост » 26 Яну 2022, 02:35

S.B. написа:
Гост написа:
КОРМОРАНЕ, не спори с простак, защото ще те принизи до своето ниво и там ще те победи с опит.

Абсолютно точно!Същият този индивид по време на спор ми изпрати един гнусен видеоклип,който на следващия ден администратора изтри.
Той за това се подвизава във форума скрит зад маската на анонимността.Не за да спори на тема математика.


за тоя клип ли става въпрос? кво му е на клипа? треба да питаш администратора защо го е изтрил, ако го е изтрил...


Последно избутване Anonymous от 26 Яну 2022, 02:35
Гост
 


Назад към Кандидат-студенти



Кой е на линия

Регистрирани потребители: Google Adsense [Bot], Google [Bot]

Форум за математика(архив)