Регистрация не е нужна, освен при създаване на тема в "Задача на седмицата".

Едночлени

Едночлени

Мнениеот addicted7 » 16 Авг 2014, 12:22

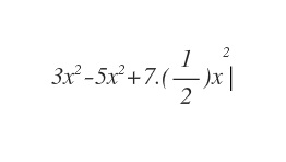
Трябва да се направи приведение на подобните едночлени:


Изобщо не получавам това, което трябва, някой ако може да обясни. Отговора е 22x-1
Прикачени файлове
hdfhfdhhf.jpg
hdfhfdhhf.jpg (4.33 KiB) Прегледано 1464 пъти
addicted7
Нов
 
Мнения: 3
Регистриран на: 12 Фев 2012, 21:03
Рейтинг: 0

Re: Едночлени

Мнениеот MENKA » 16 Авг 2014, 14:13

Не ви се вижда добре задачата в прикачения файл.
MENKA
Математиката ми е страст
 
Мнения: 618
Регистриран на: 08 Май 2014, 13:12
Рейтинг: 219

Re: Едночлени

Мнениеот Knowledge Greedy » 16 Авг 2014, 16:04

Това, което виждаме е [tex]3x^2- 5x^2+7.\frac{1}{2 } 2[/tex]
което дава
[tex]3x^2- 5x^2+3,5x^2= 1,5x^2[/tex]
Feci, quod potui, faciant meliora p0tentes.
Сторих каквото можах, по-добрите по-добро да направят.
Knowledge Greedy
Професор
 
Мнения: 2947
Регистриран на: 20 Фев 2010, 11:40
Рейтинг: 2829


Назад към Изрази, едночлени, многочленим



Кой е на линия

Регистрирани потребители: Google [Bot]

Форум за математика(архив)