Регистрация не е нужна, освен при създаване на тема в "Задача на седмицата".

Моля помогнете със следния израз, който трябва да се опрости

Моля помогнете със следния израз, който трябва да се опрости

Мнениеот Alex398 » 01 Май 2023, 15:32

Здравейте, имам проблем с опростяването на този израз.
Аз започвам от някъде, но не съм сигурен дали следвам правилната логика.
Благодаря за помоща.
Прикачени файлове
Mathh.jpg
Израз за опростяване
Mathh.jpg (18.16 KiB) Прегледано 1079 пъти
Math_Forum.jpg
Мои стъпки
Math_Forum.jpg (53.81 KiB) Прегледано 1079 пъти
Alex398
Нов
 
Мнения: 2
Регистриран на: 01 Май 2023, 12:54
Рейтинг: 0

Re: Моля помогнете със следния израз, който трябва да се опр

Мнениеот ammornil » 01 Май 2023, 16:57

$$ Q \div \frac{M}{N} = Q \cdot \frac{N}{M} $$


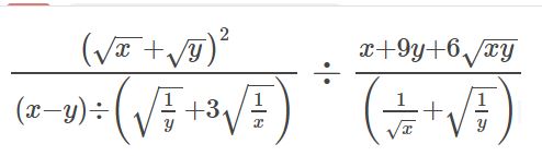
[tex]A = \frac{(\sqrt{x}+\sqrt{y})^{2}}{(x-y) \div \left(\sqrt{\frac{1}{y}}+3\sqrt{\frac{1}{x}} \right)} \div \frac{x+9y+6\sqrt{xy}}{\frac{1}{\sqrt{x}}+\sqrt{\frac{1}{y}}}[/tex]

[tex]\sqrt{x} = u \Rightarrow \begin{cases} x=u^{2} \\ \sqrt{\frac{\normalsize{1}}{\normalsize{x}}}=\frac{\normalsize{1}}{\sqrt{\normalsize{x}}}=\frac{\normalsize{1}}{\normalsize{u}} \end{cases}; \hspace{3em} \sqrt{y} = v \Rightarrow \begin{cases} y=v^{2} \\ \sqrt{\frac{\normalsize{1}}{\normalsize{y}}}=\frac{\normalsize{1}}{\sqrt{\normalsize{y}}}=\frac{\normalsize{1}}{\normalsize{v}} \end{cases}[/tex]

[tex]\Rightarrow A=\frac{(u+v)^{2}}{(u^{2}-v^{2}) \div \left(\frac{\normalsize{1}}{\normalsize{v}}+3\cdot \frac{\normalsize{1}}{\normalsize{u}} \right)} \div \frac{u^{2}+2\cdot{u}\cdot{3v}+(3v)^{2}}{\frac{\normalsize{1}}{\normalsize{u}}+\frac{\normalsize{1}}{\normalsize{v}}}[/tex]

Скрит текст: покажи
[tex]\frac{\normalsize{1}}{\normalsize{v}}+3\frac{\normalsize{1}}{\normalsize{u}}=\frac{u+3v}{uv}; \hspace{3em} \frac{\normalsize{1}}{\normalsize{u}}+\frac{\normalsize{1}}{\normalsize{v}}=\frac{u+v}{uv}[/tex]

[tex]A=\frac{(u+v)^{\cancel{2}}}{\cancel{(u+v)}(u-v)\cdot{\frac{\normalsize{uv}}{\normalsize{\cancel{u+3v}}}}}\cdot \frac{\frac{\normalsize{u+v}}{\normalsize{uv}}}{(u+3v)^{\cancel{2}}}=\frac{(u+v)(u+v)}{(u-v)\cdot uv \cdot (u+3v) \cdot uv}[/tex]

[tex]A=\frac{(u+v)^{2}}{u^{2}v^{2}(u-v)(u+3v)} \Rightarrow A=\frac{(\sqrt{x}+\sqrt{y})^{2}}{xy(\sqrt{x}-\sqrt{y})(\sqrt{x}+3\sqrt{y})}=\frac{x+2\sqrt{xy}+y}{xy(x+2\sqrt{xy}-3y)}[/tex]
[tex]\color{lightseagreen}\text{''Който никога не е правил грешка, никога не е опитвал нещо ново.''} \\
\hspace{21em}\text{(Алберт Айнщайн)}[/tex]
Аватар
ammornil
Математик
 
Мнения: 3719
Регистриран на: 25 Май 2010, 19:28
Местоположение: Великобритания
Рейтинг: 1751

Re: Моля помогнете със следния израз, който трябва да се опр

Мнениеот Alex398 » 01 Май 2023, 17:45

Много ви благодаря за помоща. :)
Alex398
Нов
 
Мнения: 2
Регистриран на: 01 Май 2023, 12:54
Рейтинг: 0


Назад към Изрази, едночлени, многочленим



Кой е на линия

Регистрирани потребители: Google Adsense [Bot], Google [Bot]

Форум за математика(архив)
cron