Регистрация не е нужна, освен при създаване на тема в "Задача на седмицата".

Показательное уравнение

Всичко, което си няма категория

Показательное уравнение

Мнениеот vovavova » 17 Фев 2013, 14:47

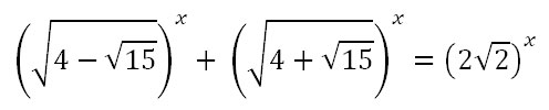
как решить уравнение
Скрит текст: покажи
Изображение
Прикачени файлове
gantoleba.jpg
gantoleba.jpg (8.79 KiB) Прегледано 450 пъти
vovavova
Нов
 
Мнения: 1
Регистриран на: 17 Фев 2013, 14:44
Рейтинг: 0

Re: Показательное уравнение

Мнениеот Гост » 18 Фев 2013, 17:31

Отг. x=2
Интересно уравнение....
Гост
 

Re: Показательное уравнение

Мнениеот strangerforever » 18 Фев 2013, 18:55

Just divide by the RHS. It's obvious from there that the equation has no more than one solution and that x = 2 satisfies the equation.
Аватар
strangerforever
Математиката ми е страст
 
Мнения: 989
Регистриран на: 10 Апр 2010, 18:55
Рейтинг: 40

Re: Показательное уравнение

Мнениеот Гост » 18 Фев 2013, 19:50

Не може ли на български... все пак.
Гост
 

Re: Показательное уравнение

Мнениеот ganka simeonova » 19 Фев 2013, 09:36

Гост написа:Не може ли на български... все пак.

Очевидно [tex]x=2[/tex] е решение на задачата. Установява се с непосредствена проверка. Представяме дясната част като
[tex](\sqrt{8})^x[/tex] и разделяме уравнението на нея. Тогава:

[tex](\sqrt{\frac{4-\sqrt{15} }{8 } } )^x +(\sqrt{\frac{4+\sqrt{15} }{8 } } )^x=1[/tex]

[tex]\sqrt{\frac{4-\sqrt{15} }{8 } }<1; \sqrt{\frac{4+\sqrt{15} }{8 } }<1[/tex]=>лявата страна е сбор от две намаляващи показателни функции и като цяло също е намаляваща.
Сега да вземем едно произволно число
[tex]x_0\in (2; +\infty )=>(\sqrt{\frac{4-\sqrt{15} }{8 } } )^{x_0} +(\sqrt{\frac{4+\sqrt{15} }{8 } } )^{x_0}<1[/tex]=>равенство не може да се достигне. Аналогично се разсъждава за числа по-малки от 2.
ganka simeonova
 


Назад към Алгебра



Кой е на линия

Регистрирани потребители: Google [Bot]

Форум за математика(архив)