Регистрация не е нужна, освен при създаване на тема в "Задача на седмицата".
Компютърна алгебра.
Всичко, което си няма категория
от Dellingr » 30 Мар 2014, 19:09
Може ли някой да ми реши тези задачи защото ми се налагаше да отсъствам 2 седмици и сега имаме домашно. Трябва да го предам на 10ти април.
- Прикачени файлове
-

- Untitled.png (604.67 KiB) Прегледано 496 пъти
-
Dellingr
- Нов
-
- Мнения: 4
- Регистриран на: 20 Яну 2014, 10:18
- Рейтинг: 0
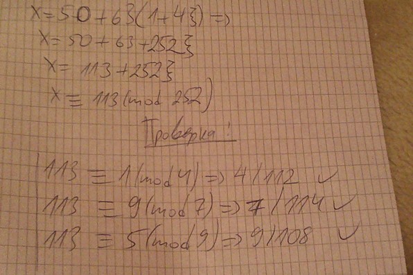
от TheWorst » 07 Апр 2014, 22:28
Мога да ти помогна малко за третата задача. Голямо писане е,написах първата,другите се решават по един и същ начин:
- Прикачени файлове
-

- IMAG0872.jpg (74.44 KiB) Прегледано 453 пъти
-

- IMAG0871.jpg (203.1 KiB) Прегледано 453 пъти
-
TheWorst
- Нов
-
- Мнения: 22
- Регистриран на: 30 Май 2011, 11:24
- Рейтинг: 6
от Dellingr » 08 Апр 2014, 11:52
Благодаря за помоща.
-
Dellingr
- Нов
-
- Мнения: 4
- Регистриран на: 20 Яну 2014, 10:18
- Рейтинг: 0
Назад към Алгебра
Кой е на линия
Регистрирани потребители: Google [Bot], Jerekioxerago