Регистрация не е нужна, освен при създаване на тема в "Задача на седмицата".

Система уравнения

Всичко, което си няма категория

Система уравнения

Мнениеот Zarrie » 01 Юли 2014, 13:25

Здравейте,
имам въпрос по задачата -
Изображение
При решаване се стига до система
[tex]u^{3} = 2-x[/tex]
[tex]v^{2} = x - 1[/tex]( Получава се от[tex]\sqrt{x-1} = v[/tex] )
Въпросът ми е не трябва ли
[tex]v^{2} = "|"x -1"|"[/tex] да е в модул, тъй като повдигаме корен на втора степен ?
Защото ако опитам да реша системата, в която получавам
[tex]v^{2} = 1-x[/tex]
х не се съкращава и получавам по-сложен израз?
Защо не се взема предвид, че e повдигната на втора степен лява ирационална страна, която трябва да бъде под знака на модул?
И ако може да ми подскажете какъв е метода за решаване на тези 2 задачи:
Изображение
Няма нужда от решения, а само малка подсказка :))
Искрени благодарности на ангажиралите вниманието си с мен!
Логиката ще те отведе от точка А до точка В. Въображението ще те отведе навсякъде.
А. Айнщайн
Учат ни, че по-умният винаги отстъпва, а после се възмущаваме, че простотията се шири на длъж и на шир...
Аватар
Zarrie
Математиката ми е страст
 
Мнения: 512
Регистриран на: 28 Юли 2012, 12:23
Местоположение: София
Рейтинг: 271

Re: Система уравнения

Мнениеот MENKA » 01 Юли 2014, 14:37

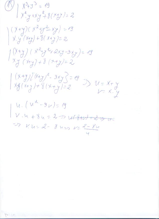
Задача 15
Прикачени файлове
Задача 15.JPG
15
Задача 15.JPG (30.13 KiB) Прегледано 1142 пъти
MENKA
Математиката ми е страст
 
Мнения: 618
Регистриран на: 08 Май 2014, 13:12
Рейтинг: 219

Re: Система уравнения

Мнениеот MENKA » 01 Юли 2014, 15:32

Задача 1.
Прикачени файлове
Задача 1.JPG
1
Задача 1.JPG (33.69 KiB) Прегледано 1135 пъти
MENKA
Математиката ми е страст
 
Мнения: 618
Регистриран на: 08 Май 2014, 13:12
Рейтинг: 219

Re: Система уравнения

Мнениеот Zarrie » 01 Юли 2014, 16:06

Не трябва ли да имаме модул, тъй като х - 1 е под корен - това ми е въпроса.
Прикачени файлове
metod.jpg
metod.jpg (3.33 KiB) Прегледано 1132 пъти
Логиката ще те отведе от точка А до точка В. Въображението ще те отведе навсякъде.
А. Айнщайн
Учат ни, че по-умният винаги отстъпва, а после се възмущаваме, че простотията се шири на длъж и на шир...
Аватар
Zarrie
Математиката ми е страст
 
Мнения: 512
Регистриран на: 28 Юли 2012, 12:23
Местоположение: София
Рейтинг: 271

Re: Система уравнения

Мнениеот Добромир Глухаров » 01 Юли 2014, 17:32

Преди всичко, щом имаш корен квадратен, трябва да намериш допустимите стойности за x. В този случай: [tex]x-1\ge 0[/tex] - подкоренната величина трябва да е неотрицателна. Тогава вече няма нужда от модул.

В тази задача бихме могли, макар че не е препоръчително, да изразим:

[tex]\sqrt{x-1}=1-\sqrt[3]{2-x}[/tex] (*)

и като повдигнем на квадрат:

[tex]x-1=\(1-\sqrt[3]{2-x}\)^2[/tex]

Оттук автоматично [tex]x-1\ge 0[/tex], понеже е равно на квадрат на някакво число, но трябва да запишем и решим неравенството: [tex]1-\sqrt[3]{2-x}\ge 0[/tex], понеже лявата страна е равна на корен квадратен от [tex]x-1[/tex] (виж (*)), която функция дава само неотрицателни стойности.
Аватар
Добромир Глухаров
Математик
 
Мнения: 2080
Регистриран на: 11 Яну 2010, 13:23
Рейтинг: 2178

Re: Система уравнения

Мнениеот Zarrie » 01 Юли 2014, 18:46

Благодаря Ви, Добромир. Тоест, тъй като заради корена имам изискването х > 1, където 1 > 0 => няма нужда да изследвам стойностите на неизвестното където модула приема отрицателна стойност - правилно ли съм разбрал ? :)
И ако имам изискване за х > -5 и за модула получа отр. стойност -4, то ще трябва да изследвам и двата случая, нали така ?
Логиката ще те отведе от точка А до точка В. Въображението ще те отведе навсякъде.
А. Айнщайн
Учат ни, че по-умният винаги отстъпва, а после се възмущаваме, че простотията се шири на длъж и на шир...
Аватар
Zarrie
Математиката ми е страст
 
Мнения: 512
Регистриран на: 28 Юли 2012, 12:23
Местоположение: София
Рейтинг: 271

Re: Система уравнения

Мнениеот Добромир Глухаров » 01 Юли 2014, 20:06

Zarrie написа:Благодаря Ви, Добромир. Тоест, тъй като заради корена имам изискването х > 1, където 1 > 0 => няма нужда да изследвам стойностите на неизвестното където модула приема отрицателна стойност - правилно ли съм разбрал ? :)
И ако имам изискване за х > -5 и за модула получа отр. стойност -4, то ще трябва да изследвам и двата случая, нали така ?


Ужас! Модулът не може да приеме отрицателна стойност, понеже по дефиниция е неотрицателен. Изразът, който си записал в модулните скоби, му поставяме условие да е неотрицателен, понеже в даденото уравнение от него се извлича корен квадратен, а това може да стане само от неотрицателно число. Нека се абстрахираме от всякакви модули. Когато имаме уравнение [tex]\sqrt{f(x)}=g(x)[/tex], то е еквивалентно на системата: [tex]\begin{array}{|c}f(x)=\(g(x)\)^2\\ g(x)\ge 0\end{array}[/tex]
Аватар
Добромир Глухаров
Математик
 
Мнения: 2080
Регистриран на: 11 Яну 2010, 13:23
Рейтинг: 2178

Re: Система уравнения

Мнениеот Zarrie » 02 Юли 2014, 09:47

Явно съм омесил всичко. Мислех за
[tex]\sqrt{(x-1)^{2}} = 5 \Rightarrow x - 1 = 5 \cup x - 1 = -5[/tex]
и правех някаква аналогия.
Мисля, че осъзнавам къде са пропуските ми и все пак бих бил благодарен, ако ми кажете какво да прочета (теория) за да запълня празнотите.
Логиката ще те отведе от точка А до точка В. Въображението ще те отведе навсякъде.
А. Айнщайн
Учат ни, че по-умният винаги отстъпва, а после се възмущаваме, че простотията се шири на длъж и на шир...
Аватар
Zarrie
Математиката ми е страст
 
Мнения: 512
Регистриран на: 28 Юли 2012, 12:23
Местоположение: София
Рейтинг: 271

Re: Система уравнения

Мнениеот MENKA » 02 Юли 2014, 10:32

Zarrie написа:Явно съм омесил всичко. Мислех за
[tex]\sqrt{(x-1)^{2}} = 5 \Rightarrow x - 1 = 5 \cup x - 1 = -5[/tex]
и правех някаква аналогия.
Мисля, че осъзнавам къде са пропуските ми и все пак бих бил благодарен, ако ми кажете какво да прочета (теория) за да запълня празнотите.

Тъй като 5>0,затова модулът е само положителен
Ако (√х-2)на квадрат=5-х,то тогава имаме дясна страна 5-х,което може и да е по<0 и по>0.
Особено при ирационалните неравенства трябва да се следят знаците.
MENKA
Математиката ми е страст
 
Мнения: 618
Регистриран на: 08 Май 2014, 13:12
Рейтинг: 219

Re: Система уравнения

Мнениеот Zarrie » 02 Юли 2014, 10:34

Тоест в примера, който съм дал няма нужда от второто уравнение, така ли? :)
Логиката ще те отведе от точка А до точка В. Въображението ще те отведе навсякъде.
А. Айнщайн
Учат ни, че по-умният винаги отстъпва, а после се възмущаваме, че простотията се шири на длъж и на шир...
Аватар
Zarrie
Математиката ми е страст
 
Мнения: 512
Регистриран на: 28 Юли 2012, 12:23
Местоположение: София
Рейтинг: 271

Re: Система уравнения

Мнениеот MENKA » 02 Юли 2014, 10:41

Zarrie написа:Тоест в примера, който съм дал няма нужда от второто уравнение, така ли? :)

В случая няма нужда от отрицателното
MENKA
Математиката ми е страст
 
Мнения: 618
Регистриран на: 08 Май 2014, 13:12
Рейтинг: 219

Re: Система уравнения

Мнениеот grav » 02 Юли 2014, 11:19

Има нужда и от второто уравнение. Провери директно, че то ти дава решение х=-4.
grav
Математиката ми е страст
 
Мнения: 878
Регистриран на: 14 Юли 2011, 23:23
Рейтинг: 369

Re: Система уравнения

Мнениеот Zarrie » 02 Юли 2014, 11:42

grav, тоест независимо дали отдясно имам положителна константа или не, винаги имам 2 уравнения, както твърдях по-рано, така ли?
Логиката ще те отведе от точка А до точка В. Въображението ще те отведе навсякъде.
А. Айнщайн
Учат ни, че по-умният винаги отстъпва, а после се възмущаваме, че простотията се шири на длъж и на шир...
Аватар
Zarrie
Математиката ми е страст
 
Мнения: 512
Регистриран на: 28 Юли 2012, 12:23
Местоположение: София
Рейтинг: 271

Re: Система уравнения

Мнениеот MENKA » 02 Юли 2014, 12:26

Зависи от конкретната задача какви ще са ограниченията.Тук при вас щом квадратния корен е на втора степен,това означава,че дали <0 или >0qрезултатът е положителен.
Прикачени файлове
Модули.JPG
1
Модули.JPG (17.49 KiB) Прегледано 1093 пъти
MENKA
Математиката ми е страст
 
Мнения: 618
Регистриран на: 08 Май 2014, 13:12
Рейтинг: 219

Re: Система уравнения

Мнениеот grav » 02 Юли 2014, 14:11

MENKA, в последният му пример квадрата е под корена. Така като си го написала -4 не е решение!
grav
Математиката ми е страст
 
Мнения: 878
Регистриран на: 14 Юли 2011, 23:23
Рейтинг: 369

Re: Система уравнения

Мнениеот MENKA » 02 Юли 2014, 14:30

grav написа:MENKA, в последният му пример квадрата е под корена. Така като си го написала -4 не е решение!

Разбирай го -под корена.
MENKA
Математиката ми е страст
 
Мнения: 618
Регистриран на: 08 Май 2014, 13:12
Рейтинг: 219

Re: Система уравнения

Мнениеот MENKA » 02 Юли 2014, 15:11

MENKA написа:
grav написа:MENKA, в последният му пример квадрата е под корена. Така като си го написала -4 не е решение!

Разбирай го -под корена.

Много минуси,много нещо- :lol: :lol: :twisted: :roll: :mrgreen:
MENKA
Математиката ми е страст
 
Мнения: 618
Регистриран на: 08 Май 2014, 13:12
Рейтинг: 219

Re: Система уравнения

Мнениеот monika_at » 02 Юли 2014, 15:21

Защото пишеш безобразно, драскаш, и после неглиже има само едно: "Разбирай го под корена"
Е, след като квадрата ясно е написан извън корена, нямам как да го разбираме под.
Ти самата в много постове си казвала, че за еди какво си във ФМИ биха писали 2. Както за прословутата ОБРАТНА ТЕОРЕМА.
Човек може и да сбърка, всеки от нас бърка, но......
Защо не се научиш да пишеш на LaTeX?
Никак не е сложно. Напротив, много по-прегледно е.
Хубавото издържано и прегледно решение показва учтивост към питащия.
"Колкото повече изследваме Вселената, толкова по-ясно става, че е единична мисъл на велик математик!"
Сър Джеймс Джинс
Аватар
monika_at
Професор
 
Мнения: 1207
Регистриран на: 23 Апр 2013, 11:49
Местоположение: гр. София
Рейтинг: 936

Re: Система уравнения

Мнениеот kmitov » 02 Юли 2014, 20:06

monika_at написа:Защото пишеш безобразно, драскаш, и после неглиже има само едно: "Разбирай го под корена"
Е, след като квадрата ясно е написан извън корена, нямам как да го разбираме под.
Ти самата в много постове си казвала, че за еди какво си във ФМИ биха писали 2. Както за прословутата ОБРАТНА ТЕОРЕМА.
Човек може и да сбърка, всеки от нас бърка, но......
Защо не се научиш да пишеш на LaTeX?
Никак не е сложно. Напротив, много по-прегледно е.
Хубавото издържано и прегледно решение показва учтивост към питащия.

monika_at ти освен във форума къде си виждала Latex? Можеш ли да посочиш един редактор, с който се пише на Latex, та си тръгнала да даваш акъл?
kmitov
Математиката ми е страст
 
Мнения: 562
Регистриран на: 06 Ное 2013, 17:42
Рейтинг: 382

Re: Система уравнения

Мнениеот math10.com » 02 Юли 2014, 21:10

Аз лично мога да ти посоча няколко.
А и след като във форума може да се пише на LaTeX и някой потребител иска да пише във форума, то е редно да го ползва.Ако не му се занимава да се образова защо си губи времето в този форум?И аз имах период на седмица да се науча , а и ти Митов го ползваш.LaTeX позволява приличен математически запис и е добър вариант за подобен форум.Защо да оправдаваме "МЕНКА" която не полага усилие да се научи?
math10.com
Математиката ми е страст
 
Мнения: 757
Регистриран на: 29 Апр 2013, 22:24
Рейтинг: 809

Re: Система уравнения

Мнениеот MENKA » 03 Юли 2014, 06:42

math10.com написа:Аз лично мога да ти посоча няколко.
А и след като във форума може да се пише на LaTeX и някой потребител иска да пише във форума, то е редно да го ползва.Ако не му се занимава да се образова защо си губи времето в този форум?И аз имах период на седмица да се науча , а и ти Митов го ползваш.LaTeX позволява приличен математически запис и е добър вариант за подобен форум.Защо да оправдаваме "МЕНКА" която не полага усилие да се научи?

1.Изобщо не е удобна тази програма,която пишете.
2.Не позволява да се правят чертежи.
3.Всеки има право да си напише мнението така,както пожелае.
4.Всеки има право и да не чете мнението всекиму.
5.Математиката е точна наука-или верен,или неверен отговор.
6.Как е решена задачата,няма значение.Въпросът е да бъде вярно решена.
7.Не е важно да си знаещ,а е важно другият срещу теб да те разбере.От Вас специално се прилагат методи,които изобщо не са разбираеми за средния ученик.Напр. за решение на полиноми и т.н. -евклидово пространство.Абсолютни глупости.
Приятен ден Ви желая!
MENKA
Математиката ми е страст
 
Мнения: 618
Регистриран на: 08 Май 2014, 13:12
Рейтинг: 219

Re: Система уравнения

Мнениеот kmitov » 03 Юли 2014, 11:53

Не ли най-добре да се постъпи така за уравнението [tex]\sqrt[3]{2-x}=1-\sqrt{x-1}[/tex]?

Полагаме [tex]2-x=u^3, x-1=v^2[/tex], получаваме системата [tex]\left|\begin{array}{l} 2-x=u^3\\ x-1=v^2 \\ u=1-v \end{array} \right.[/tex] и от нея намираме системата [tex]\left|\begin{array}{l}u^3+v^2=1 \\ v=1-u \end{array} \right.[/tex]

Така се получава [tex]u^3+u^2-2u+1=1[/tex] или [tex]u(u^2+u-2)=0[/tex] и за [tex]u[/tex] намираме [tex]u=0, u=1, u=-2[/tex] откъдето за [tex]x[/tex] сер получават [tex]2-x=0^3 \Rightarrow x=2; 2-x=1^3 \Rightarrow x=1; 2-x=-8 \Rightarrow x=10[/tex].

С непосредствена проверка се установява, че и трите са решения.
[tex]\sqrt[3]{2-2}=1-\sqrt{2-1}[/tex], т.е. 0=0

[tex]\sqrt[3]{2-1}=1-\sqrt{1-1}[/tex], т.е. 1=1

[tex]\sqrt[3]{2-10}=1-\sqrt{10-1}[/tex], т.е. -2=-2,

следователно и трите са решения.
kmitov
Математиката ми е страст
 
Мнения: 562
Регистриран на: 06 Ное 2013, 17:42
Рейтинг: 382

Re: Система уравнения

Мнениеот MENKA » 03 Юли 2014, 12:23

kmitov написа:Не ли най-добре да се постъпи така за уравнението [tex]\sqrt[3]{2-x}=1-\sqrt{x-1}[/tex]?

Полагаме [tex]2-x=u^3, x-1=v^2[/tex], получаваме системата [tex]\left|\begin{array}{l} 2-x=u^3\\ x-1=v^2 \\ u=1-v \end{array} \right.[/tex] и от нея намираме системата [tex]\left|\begin{array}{l}u^3+v^2=1 \\ v=1-u \end{array} \right.[/tex]

Така се получава [tex]u^3+u^2-2u+1=1[/tex] или [tex]u(u^2+u-2)=0[/tex] и за [tex]u[/tex] намираме [tex]u=0, u=1, u=-2[/tex] откъдето за [tex]x[/tex] сер получават [tex]2-x=0^3 \Rightarrow x=2; 2-x=1^3 \Rightarrow x=1; 2-x=-8 \Rightarrow x=10[/tex].

С непосредствена проверка се установява, че и трите са решения.
[tex]\sqrt[3]{2-2}=1-\sqrt{2-1}[/tex], т.е. 0=0

[tex]\sqrt[3]{2-1}=1-\sqrt{1-1}[/tex], т.е. 1=1

[tex]\sqrt[3]{2-10}=1-\sqrt{10-1}[/tex], т.е. -2=-2,

следователно и трите са решения.

Абсолютно съм съгласна със Вашето решение,след като получавате отговорите.Все пак няма стандартен начин за решаване на кето и да е уравнение.
MENKA
Математиката ми е страст
 
Мнения: 618
Регистриран на: 08 Май 2014, 13:12
Рейтинг: 219

Re: Система уравнения

Мнениеот Knowledge Greedy » 03 Юли 2014, 12:29

В повечето случаи се въздържам от критики, но и тук ще си дам критичното мнение.
MENKA написа:
math10.com написа:... Защо да оправдаваме "МЕНКА" която не полага усилие да се научи?

1.Изобщо не е удобна тази програма,която пишете.
2.Не позволява да се правят чертежи.
3.Всеки има право да си напише мнението така,както пожелае.
4.Всеки има право и да не чете мнението всекиму.
5.Математиката е точна наука-или верен,или неверен отговор.
6.Как е решена задачата,няма значение.Въпросът е ...
7.Не е важно да си знаещ ...
Приятен ден Ви желая!


По точки.
1. Владеенето в някаква степен на редактори на научен текст е в плюсовете на всяка съвременна образователна програма, необходим инструмент на студент, учител, научен работник.
Освен въпросната LaTeX има и други, но няма кой да учи. Тук напълно подкрепям math10.com
math10.com написа:... Защо да оправдаваме ..., която не полага усилие да се научи?

2. Освен въпросната LaTeX има и други с графична насоченост, съвместими със средата в която работим.
... Но и тях някой трябва да учи!
3. С добавката - да се спазва добрия тон и етикет.
По точка 4 - да, Демокрацията повелява.
5. Тук съм просто предизвикан да отправя Молба към написалия точка 5, да спазва това което е написал и да намали брака поне наполовина ( за това в същност си губим времето да критикуваме).
6. Написалият 6 не е предполагал, че ще напише и 7; което 6 крещящо противоречи на 7. Иначе е добре.
7. Аз претендирам да съм (много)знаещ и се чувствам лично засегнат. Когато си знаещ, знаеш с какъв човек си имаш работа и му предлагаш такава гледна точка, че поне малко да те разбере. Когато насочваш писането си към друга група читатели, сменяш нивото, стила, подробностите, терминологията. Това само знаещият може да си позволи.

И накрая. Все пак MENKA с бързата си реакция е много полезна за сайта, след като има и читатели. Но нека положи повечко усилия, за да не ставаме за смях като политическа (не дотам компетентна) говорилня.
Feci, quod potui, faciant meliora p0tentes.
Сторих каквото можах, по-добрите по-добро да направят.
Knowledge Greedy
Професор
 
Мнения: 2947
Регистриран на: 20 Фев 2010, 11:40
Рейтинг: 2829

Re: Система уравнения

Мнениеот MENKA » 03 Юли 2014, 12:44

Сега ще си призная без бой.На практика не съм със педагогическо математическо образование.Не знам дори и наименованията на програмите,които ползувате за решения на задачите,къде ли чертежите.Задачите ги решавам набързичко през работно време,сканирам ги и ги изпращам.Открих този сайт часове преди да се регистрирам.Затова и нямам време да "проучвам" LaTex-a.Взела съм си нов компютър и скоро ще инсталирам всичко,което е необходимо.Във ФМИ учех,но предпочетох да отида в чужбина преди години.След това вече бях загубила студентски права,пък и професионалните ми интереси са съвсем други,но близки до математиката,която в работата ми е необходима във всеки един момент.Искам да ви попитам специално за чертежите-коя програма се ползува?
MENKA
Математиката ми е страст
 
Мнения: 618
Регистриран на: 08 Май 2014, 13:12
Рейтинг: 219

Следваща

Назад към Алгебра



Кой е на линия

Регистрирани потребители: Google Adsense [Bot], Google [Bot]

Форум за математика(архив)