Регистрация не е нужна, освен при създаване на тема в "Задача на седмицата".

Дефиниционна област

Всичко, което си няма категория

Дефиниционна област

Мнениеот Zarrie » 03 Юли 2014, 13:28

Здравейте,
Бихте ли ми обяснили как да си съставя ДО на ирационалното уравнение
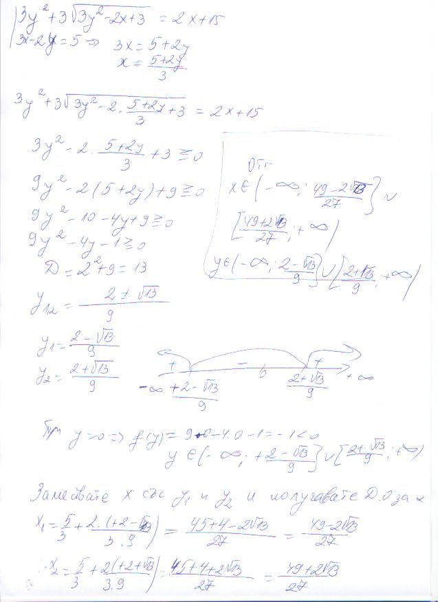
[tex]3y^{2} + 3sqrt{3y^{2} - 2x + 3} = 2x + 15[/tex]
Благодаря предварително! :)
* Ако е от значение задачата е система и второто у-е на системата е
[tex]3x - 2y = 5[/tex]
Логиката ще те отведе от точка А до точка В. Въображението ще те отведе навсякъде.
А. Айнщайн
Учат ни, че по-умният винаги отстъпва, а после се възмущаваме, че простотията се шири на длъж и на шир...
Аватар
Zarrie
Математиката ми е страст
 
Мнения: 512
Регистриран на: 28 Юли 2012, 12:23
Местоположение: София
Рейтинг: 271

Re: Дефиниционна област

Мнениеот monika_at » 03 Юли 2014, 13:47

Представяме уравнението във вида:

[tex]3y^2-2x+3+3\sqrt{3y^2-2x+3}=18=0[/tex] Полагаме [tex]\sqrt{3y^2-2x+3}\ge 0[/tex]

[tex]t^2+3t-18=0; t_1=-6<0; t_2=3>0[/tex] Връщаме се в полагането с втория корен=>

[tex]\sqrt{3y^2-2x+3}=3[/tex]Тук повдигаме смело на втора, защото двете страни са с еднакъв знак. По принцип на уравнение с един радикал се изисква единствено страната, несъдържаща радикала да е неотрицателна, но в нашия случай тя е 3. Тогава:

[tex]3y^2-2x+3=9[/tex]. Полученото уравнение комбинираме с второто в система...
"Колкото повече изследваме Вселената, толкова по-ясно става, че е единична мисъл на велик математик!"
Сър Джеймс Джинс
Аватар
monika_at
Професор
 
Мнения: 1207
Регистриран на: 23 Апр 2013, 11:49
Местоположение: гр. София
Рейтинг: 936

Re: Дефиниционна област

Мнениеот MENKA » 03 Юли 2014, 13:49

Решение.
Прикачени файлове
ДО.JPG
ДО
ДО.JPG (51.86 KiB) Прегледано 874 пъти
MENKA
Математиката ми е страст
 
Мнения: 618
Регистриран на: 08 Май 2014, 13:12
Рейтинг: 219

Re: Дефиниционна област

Мнениеот Zarrie » 03 Юли 2014, 14:08

Благодаря Ви :)
Логиката ще те отведе от точка А до точка В. Въображението ще те отведе навсякъде.
А. Айнщайн
Учат ни, че по-умният винаги отстъпва, а после се възмущаваме, че простотията се шири на длъж и на шир...
Аватар
Zarrie
Математиката ми е страст
 
Мнения: 512
Регистриран на: 28 Юли 2012, 12:23
Местоположение: София
Рейтинг: 271

Re: Дефиниционна област

Мнениеот MENKA » 03 Юли 2014, 14:25

Zarrie написа:Благодаря Ви :)

Вие ми благодарите,но дали е така.Хубаво е да показвате и отговорите на задачите,а не само самата задача.Все пак по този начин решаващият задачата,си сверява правилно ли е решението.
MENKA
Математиката ми е страст
 
Мнения: 618
Регистриран на: 08 Май 2014, 13:12
Рейтинг: 219

Re: Дефиниционна област

Мнениеот Zarrie » 03 Юли 2014, 14:40

Всъщност аз питах за ДО защото получих отговорите, но получих 2 отговора в повече, които по нищо не личи че не трябва да са решения, но не фигурират в отговорите на задачата.
След полагането аз съм записал два случая
1-вият, че [tex]9y^{2} - 4y - 28 = 9[/tex] и вторият [tex]\red9^{2} - 4y + 26 = -9[/tex]
от това, че [tex]sqrt{(3y^{2} - 2x + 3)^{2}} = 3^{2} = \left|{3y^{2} - 2x + 3} \right| = 9[/tex]
за второто получих, че няма реални корени, а за първият получих отговорите на задачата + стойности
y = 2 и х = 3
и при заместване се получава вярно числово равенство
21 = 21
:D обърках се първо защото не разбирам защо нямаме второто равенство след повдигане на 2-ра степен корена
т.е. [tex]f(y) = 9 \cup[/tex] [tex]\red f(y) = -9[/tex]
и второ защо не фигурират корените, след като са корени на полученото уравнение - което ме навежда на мисълта, че трябва да има ДС, които да ограничават корените на у-то. Опитах се още в началото след изразяването и заместването на [tex]2x = \frac{4y +10}{3}[/tex] под знака на корена корена, който полагам, получавайки корени за y да искам от уравнението да е f(y) ≥ 0 но не получавам ДО, която да премахва получените от мен решения.
Прикачени файлове
asd.jpg
asd.jpg (5.18 KiB) Прегледано 867 пъти
Логиката ще те отведе от точка А до точка В. Въображението ще те отведе навсякъде.
А. Айнщайн
Учат ни, че по-умният винаги отстъпва, а после се възмущаваме, че простотията се шири на длъж и на шир...
Аватар
Zarrie
Математиката ми е страст
 
Мнения: 512
Регистриран на: 28 Юли 2012, 12:23
Местоположение: София
Рейтинг: 271

Re: Дефиниционна област

Мнениеот monika_at » 03 Юли 2014, 17:29

Менка, аз повече няма да коментирам постовете ти... :x
"Колкото повече изследваме Вселената, толкова по-ясно става, че е единична мисъл на велик математик!"
Сър Джеймс Джинс
Аватар
monika_at
Професор
 
Мнения: 1207
Регистриран на: 23 Апр 2013, 11:49
Местоположение: гр. София
Рейтинг: 936

Re: Дефиниционна област

Мнениеот monika_at » 03 Юли 2014, 17:38

Zarrie написа:Всъщност аз питах за ДО защото получих отговорите, но получих 2 отговора в повече, които по нищо не личи че не трябва да са решения, но не фигурират в отговорите на задачата.
След полагането аз съм записал два случая
1-вият, че [tex]9y^{2} - 4y - 28 = 9[/tex] и вторият [tex]\red9^{2} - 4y + 26 = -9[/tex]
от това, че [tex]sqrt{(3y^{2} - 2x + 3)^{2}} = 3^{2} = \left|{3y^{2} - 2x + 3} \right| = 9[/tex]
за второто получих, че няма реални корени, а за първият получих отговорите на задачата + стойности
y = 2 и х = 3
и при заместване се получава вярно числово равенство
21 = 21
:D обърках се първо защото не разбирам защо нямаме второто равенство след повдигане на 2-ра степен корена
т.е. [tex]f(y) = 9 \cup[/tex] [tex]\red f(y) = -9[/tex]
и второ защо не фигурират корените, след като са корени на полученото уравнение - което ме навежда на мисълта, че трябва да има ДС, които да ограничават корените на у-то. Опитах се още в началото след изразяването и заместването на [tex]2x = \frac{4y +10}{3}[/tex] под знака на корена корена, който полагам, получавайки корени за y да искам от уравнението да е f(y) ≥ 0 но не получавам ДО, която да премахва получените от мен решения.

Имаш един тънък грешен момент и от там е грешката. Имаш:

[tex](\sqrt{3y^2-2x+3})^2[/tex], а не [tex]\sqrt{(3y^2-2x+3)^2}[/tex], както си написал. Двата израза не са винаги еквивалентни.
"Колкото повече изследваме Вселената, толкова по-ясно става, че е единична мисъл на велик математик!"
Сър Джеймс Джинс
Аватар
monika_at
Професор
 
Мнения: 1207
Регистриран на: 23 Апр 2013, 11:49
Местоположение: гр. София
Рейтинг: 936

Re: Дефиниционна област

Мнениеот Zarrie » 03 Юли 2014, 19:58

Хмм, да не злепоставя учителката ми по математика, но мисля, че ми е казвала, че записа всъщност е едно и също.
Логиката ще те отведе от точка А до точка В. Въображението ще те отведе навсякъде.
А. Айнщайн
Учат ни, че по-умният винаги отстъпва, а после се възмущаваме, че простотията се шири на длъж и на шир...
Аватар
Zarrie
Математиката ми е страст
 
Мнения: 512
Регистриран на: 28 Юли 2012, 12:23
Местоположение: София
Рейтинг: 271

Re: Дефиниционна област

Мнениеот Zarrie » 03 Юли 2014, 20:07

Благодаря, Значи ако при ирационално у-е с 2 радикала повдигна на втора степен, то при повдигнатите корени на втора от ф-та за съкр. умножение, няма да имам модул, а просто стойността под корена извън него? :)
Логиката ще те отведе от точка А до точка В. Въображението ще те отведе навсякъде.
А. Айнщайн
Учат ни, че по-умният винаги отстъпва, а после се възмущаваме, че простотията се шири на длъж и на шир...
Аватар
Zarrie
Математиката ми е страст
 
Мнения: 512
Регистриран на: 28 Юли 2012, 12:23
Местоположение: София
Рейтинг: 271

Re: Дефиниционна област

Мнениеот monika_at » 04 Юли 2014, 13:50

Zarrie написа:Хмм, да не злепоставя учителката ми по математика, но мисля, че ми е казвала, че записа всъщност е едно и също.

Ако мисли така, не е добре.

Така!
1) Да разгледаме израза [tex](\sqrt{x} )^2[/tex] Така записан е ясно, че първо се извършва коренуването, а след това степенуването. За да има смисъл изразът, трябва [tex]x\ge 0[/tex]
Тогава [tex](\sqrt{x} )^2=x[/tex]

2)Сега да разгледаме [tex]\sqrt{x^2}[/tex]Тук първо се извършва степенуването. За х в случая нямаме изискване, защото втората степен автоматично прави числото под корена неотрицателно. Но тогава:
[tex]\sqrt{x^2} =|x|[/tex]

3) Изразите от 1) и 2) са еквивалентни само за неотрицателни х.
"Колкото повече изследваме Вселената, толкова по-ясно става, че е единична мисъл на велик математик!"
Сър Джеймс Джинс
Аватар
monika_at
Професор
 
Мнения: 1207
Регистриран на: 23 Апр 2013, 11:49
Местоположение: гр. София
Рейтинг: 936

Re: Дефиниционна област

Мнениеот Zarrie » 04 Юли 2014, 14:08

В крайна сметка разбрах! Много Ви благодаря :)))
Логиката ще те отведе от точка А до точка В. Въображението ще те отведе навсякъде.
А. Айнщайн
Учат ни, че по-умният винаги отстъпва, а после се възмущаваме, че простотията се шири на длъж и на шир...
Аватар
Zarrie
Математиката ми е страст
 
Мнения: 512
Регистриран на: 28 Юли 2012, 12:23
Местоположение: София
Рейтинг: 271

Re: Дефиниционна област

Мнениеот inveidar » 05 Юли 2014, 08:57

MENKA написа:Решение.

Менке, каква е тази простотия?! Защо заместващ с краищата на интервалите от ДМ-то?! Ужас!!! :shock: :shock: :shock:
По-добре малко акъл, но навреме!!!
Аватар
inveidar
Математик
 
Мнения: 1768
Регистриран на: 15 Ное 2010, 12:43
Рейтинг: 689


Назад към Алгебра



Кой е на линия

Регистрирани потребители: Google [Bot]

Форум за математика(архив)