Задачи по тригонометрия
Задачите са предоставени от:
г-н Николай Чакъров от Шумен
преподавател в ПГОХХТ "Проф. д-р Асен Златаров"
10 клас - II равнище
ЗИП
Математическа гимназия Варна
Задача 1: Докажете, че:
А) $\beta - \alpha = \frac{\pi}{4}$, ако $sin \alpha = \frac{\sqrt{5}}{5}$, ако α
I квадрант, $cos \beta = \frac{\sqrt{10}}{10}$, β
I квадрант.
Решение
B) $\alpha + \beta = \frac{\pi}{2}$, ако $sin \alpha = \frac{15}{17}$, ако α
I квадрант, $cos \beta = \frac{8}{17}$, β
I квадрант.
Решение
C) $\alpha + \beta + \gamma = \frac{\pi}{2}$, ако $sin \alpha = \frac{1}{3}$, $sin \beta = \frac{\sqrt{11}}{33}$ и $sin \gamma = \frac{3\sqrt{11}}{11}$, където α, β, γ
I квадрант.
Решение
Задача 2: Докажете, че ако $\alpha + \beta + \gamma = \frac{\pi}{2}$, то
A) tgα.tgβ + tgβ.tgγ + tgα.tgγ = 1.
Решение
B) cotgα + cotgβ + cotgβ = cotgα.cotgβ.cotgγ.
Решение
Задача 3: Докажете, че ако
$\alpha + \beta = \frac{\pi}{4}$
то (1 + tgα)(1 + tgβ) = 2.
Решение
Задача 4: Докажете, че
А) cosα + √3sinα ≤ 2.
Решение
B) √2(sinα + cosα) ≤ 2.
Решение
C) sin2αcosβ + cos2αsinβ ≤ 1.
Решение
D) sin(α + β) ≤ sinα + sinβ.
Решение
E) cos(α + β) < cosα - sinα.sinβ.
Решение
F) √3cos&lpha; - sinα ≤ 2.
Решение
G) sinα - cosα ≤ √2
Решение
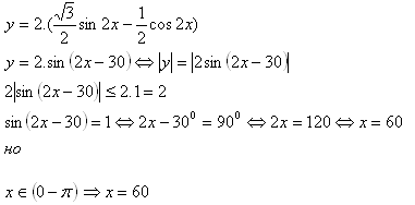
Задача 5: Да се намери НГС (най-голямата стойност) на y = √3sin2x - cos2x и съответната стойност на x, ако 0 ≤ x ≤ π.
Решение
Задача 6:Изчислете изразите
A) sin67°.cos68° - cos67°.sin68°.
B) sin27°.cos33° + sin63°.cos57° + cos30°.
C) $\frac{tg66^\circ . cotg36^\circ - 1}{tg66^\circ + cotg36^\circ }$
D) $\frac{tg92^\circ + cotg2^\circ }{1 - tg92^\circ . cotg2^\circ}$
E) cos1° + cos121° + cos241°.
F) $\frac{sin110^\circ .sin250^\circ + cos540^\circ .cos290^\circ }{cos1260^\circ }$
Задача 7: Докажете тъждествата
А) $\frac{1}{2}(cos \alpha + \sqrt{3}sin \alpha ) = sin(30^\circ + \alpha)$
B) cosα - √3sinα = 2cos(60° + α).
C) tg20° + tg23° + tg20°.tg25° = 1.
D) tg20° + tg40° + √3tg20°.tg40° = √3.
E) sin(α + β).cos(α - β) = sin2α - sin2β.
F) cos(α + β).cos(α - β) = cos2α - cos2β.
G) $sin^2\left(\alpha - \frac{\pi}{6} \right) + sin^2\left(\alpha + \frac{\pi}{6} \right) - sin^2 \alpha = \frac{1}{2}$

Меню