Прогресии
Аритметична прогресия
a + (a + d) + (a + 2d) + ... + {a + (n - 1)d} = (1/2).n.{2a + (n - 1)d} = (1/2).n.(a+ l)
където l = a + (n - 1)d е последния член на редицата.
Някои специални случаи са
1 + 2 + 3 + ... + n = (1/2).n.(n + 1)
1 + 3 + 5 + ... + (2n - 1) = n2
Геометрична прогресия
a + ar + ar2 + ar3 + ... + arn = a(1 - rn)/(1 - r) = (a - rl)/(1 - r)
където l = arn - 1 е последния член на редицата и r ≠ 1.
Ако - 1 < r < 1, то
a + ar + ar2 + ar3 + ... + arn = a/(1 - r)
Аритметико-геометрична прогресия
a + (a + d)r + (a + 2d)r2 + ... + {a + (n - 1)d}rn - 1 =
където r ≠ 1.
Ако -1 < r < 1, то
a + (a + d)r + (a + 2d)r2 + ... =
Степенни редове
където редицата свършва с n2 или n според това дали р е четно или нечетно, и Bk са числата на Бернули.
Някои специални случаи са
Ако Sk = 1k + 2k + 3k + ... + nk където k и n са положителни числа, то
Степенни редове, включващи реципрочните на положителни числа
Смесени редове
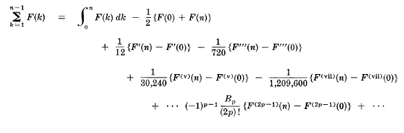
Формула за сумиране на Ойлер-Маклорен
Формула за сумиране на Поасон

Меню