|
Логаритъм
|
|
|
Тъждества Основни тъждества Използването на логаритми прави сметките по-лесни. Например за умножението на две чсила са необходими само логаритмична таблица и събиране. ![]() ![]() ![]() ![]() |
Доказателство
![]() ![]() ![]() ![]() |
|
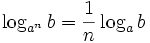
Унищожаване на експонентата Логаритми и степени (антилогаритми) при една и съща основа взаимно се унищожават. ![]() ![]() | |
|
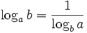
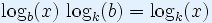
Смяна на основата ![]() Тази формула има няколко следтвия ![]() ![]() ![]() |
Доказателство
![]() ![]() ![]() ![]() |
|
Тривиални тъждества ![]() ![]() logb(0) е недефинирано, понеже няма такова число x, за което да е изпълнено Фиг. 1
|
|
|
Оновни граници ![]() ![]() ![]() ![]() |

Меню
























